阿里千问 MAX 版本 / 图片转 Markdown

阿里千问 AI QWEN 用 QWEN,图片转 Markdown。 有的问题是 Markdown 渲染的问题,并不一定是 QWEN 的问题。

  • 编号问题。Markdown 不会遵循源码,会重新编号。
  • 表格问题。Markdown 的表格语法非常简单,并不支持复杂表格。
  • 公式的竖线被 Markdown 识别成了表格。
  • 有的地方存在语法错误,无法顺利渲染。

计量计费 模型介绍

通义千问大规模视觉语言模型增强版。大幅提升细节识别能力和文字识别能力,支持超百万像素分辨率和任意长宽比规格的图像。在广泛的视觉任务上提供卓越的性能。 qwen-vl-plus 0.008 元 /1,000 tokens 用的这个,算下来,平均一张图片 0.023544 元。

通义千问超大规模视觉语言模型。相比增强版,再次提升视觉推理能力和指令遵循能力,提供更高的视觉感知和认知水平。在更多复杂任务上提供最佳的性能。 qwen-vl-max 0.02 元 /1,000 tokens 假如是这个,算下来,平均一张图片 0.06094 元。



a75f9f6ce8bcd1cc7f0bdadc46fe460e

(15). 1. What are they going to do this year? (6%) (A) . Visit grandparents. (B) . Take a trip. (C) . Learn how to swim.

(A) . She likes dancing. (B) . She likes singing. (C) . She likes swimming.

A. By plane. B. By ship. C. By train.

六 判断单词画线部分发音是否相同,相同的写 "T" ,不同的写 "F" 。 (5%)

(T) 1. sea meet

(F) 2. mice milk

(F) 4. take traffic

选出下列组中不同类的单词或组。 (5%)

选不出正确选项的用 - 表示

(2-) 1. next week bookstore dictionary afraid cleaner study sled

(2-) 2. bookshop museum worried C. worker plane

选择正确的选项。 (10%)

(C) 1. I'm going to read books in the library

(B) 2. –When are you going? –I'm going tomorrow.

(B) 3. –Where is the bookstore? It's next to the museum

(A) 4. –What does your sister do? She's a cleaner

(A) 5. A. She's a teacher and he plays football every day

(A) 6. Does he live in Sydney? No, he lives in Canberra

(B) 7. Oh! 39℃! You should see a doctor

(B) 8. You can stop at a green light

(C) 9. We are going to have a party next week

(C) 10. She walks to school. It means she goes to school by foot



0630d7a3ab16ce0b53b5dd81553b12fa

账户历史交易明细表

日期 货币 金额 余额 备注

2015/11/01 人民币 -4,703.98 23,183.98 朝朝盈转出

2015/11/01 人民币 -110.00 22,083.98 活期转理财

2015/11/01 人民币 -2,000.00 20,083.98 活期结转金融理财

2015/11/01 人民币 110.00 1,183.98 理财转活期

2015/11/01 人民币 2,000.00 3,183.98 金融理财账户转活期结算户

2015/11/01 人民币 20,000.00 23,183.98 金融理财账户转活期结算户

2015/11/01 人民币 -20,000.00 3,183.98 对私提贷,转账



0d84de127412f14599750a2cb5ee494a

诊断 : 上消化道出血 编号 项目 代码 结果 单位 参考值 1 白细胞数 WBC 4.90 ( \times{}10^{9}/L ) 3.5~5.1 2 红细胞计数 RBC 4.17 ( \times{}10^{12}/L ) 3.8~5.1 3 血红蛋白 HGB 116 g/L 115~150 4 血小板计数 PLT 207 ( \times{}10^{9}/L ) 125~350 5 中性粒细胞百分比 NEU% 62.8 % 20~50 6 淋巴细胞百分比 LY% 29.0 % 3~10 7 单核细胞百分比 MO% 7.60 % 0.3~8 8 嗜碱性粒细胞百分比 BA% 0.40 % 0~1 9 嗜酸性粒细胞数 EOS# 0.02 ( \times{}10^{9}/L ) 0.22~0.52 10 嗜碱性粒细胞数 BASO# 0.01 ( \times{}10^{9}/L ) 0~0.06 11 红细胞压积 HCT 37.0 % 35~45 12 红细胞平均体积 MCV 88.7 fL 82~100 13 平均血红蛋白量 MCH 27.8 pg 27~34 14 平均血红蛋白浓度 MCHC 314 g/L 316~354 15 中性粒细胞数 NEUT# 3.08 ( \times{}10^{9}/L ) 1.8~6.3 16 单核细胞数 MONO# 0.37 ( \times{}10^{9}/L ) 0.1~0.6 17 淋巴细胞数 LYM# 1.42 ( \times{}10^{9}/L ) 1.1~3.2 18 血小板分布宽度 PDW 9.7 % 9.8~18.1 19 血小板平均体积 MPV 9.0 fL 9.0~13.0 20 大型血小板比率 P-LCR 17.10 % 11.5~14.5 21 红细胞体积分布宽度 RDW-CV 13.40 % 11.5~14.5 22 红细胞体积分布标准差 RDW-SD 41.40 fL



12bef3b0c5ee3855e096d3f13ccf56b1

此信先生、有李云程先生制住、句稽呈鉴、纫百感教授、出治国难、有术之重。此人性格不为俗所如以变现、得专意于学。顺颂教祺、八月廿六日、毛泽东



8da375c9ba2186226074f891d5f663b0

小芳:

你现在已经上初中了,家里的人都很想念你。你的功课不要太用功。要多去参加一些课外活动,身体好,进步更快。但不可太贪玩,随便你怎么设计,我都爱看。你有空的时候,可以给我写信,随便你写什么,我都爱看。

请代问全家好,爸爸妈妈弟弟妹妹都很好。大三月二日



bfa7dcb9a58d8013f4216f54545ac771

显然,这是一张包含大量技术文档的图片。我将尝试提取并以 Markdown 格式呈现其内容:


5.5 性能监视

性能监视对软件调优(tuning)和软件调试都有着重要的意义,为了更好地满足性能监视任 务的需求,IA 处理器从奔腾开始就提供了性能监视机制,包括专门的计数器、寄存器、CPU 管 中断支持等。

需要指出的是,虽然从奔腾 CPU 开始的所有 IA 处理器都包含了性能监视支持,但是直到 Pentium Solo 和 Core Duo 处理器公布时,才将一部分性能监视机制纳入到 IA 架构中,其他部分仍 与处理器型号有关。换句话说,IA CPU 的性能监视机制纳入到 IA 中断支持与处理器型号相关, 使用时,请务必检查 CPU 的型号。下面按照由简单到复杂的顺序分别介绍不同 IA CPU 的性能监视机 制。

5.5.1 奔腾处理器的性能监视机制

奔腾处理器是第一个引入性能监视机制的 IA 处理器,该机制包括两个 40 位的性能计数器 (PerfCt0 和 PerfCt1)、一个 32 位的名为 CESR(Counter Event Select Register)的控制寄存器,以及处理器上的 PM0/BP0 和 PM1/BP1 管脚。CESR 寄存器用于选择要监视的事件和配置监视选项,PM0/BP0 和 PM1/BP1 管脚用于向外部硬件通知计数器状态(各对应一个计数器)。PerfCt0、PerfCt1 和 CESR 都是 MSR,可以通过 RDMSR 和 WRMSR 指令来访问。下面我们以 CESR 的格式线索,介绍奔腾处理器的性能监视机制。

图-10 画出了 CESR 的各个位域。

3 3 2 2 2 2 2 2 2 2 1 1 1 1 1 1 1 1 9 8 7 6 5 4 3 2 1 0 9 8 7 6 5 4 3 2 1 0 保留 P C CC1 ES1 保留 P C CC0 ES0

显而易见,CESR 的高 16 位和低 16 位的布局是相同的。低 16 位对应计数器 0,高 16 位对应计数器 1。每个部分都包含下 3 个域。

(1) 6 位的事件选择域 ES(Event Select):用来选择要测量(监视)的事件类型,例如 DATA_READ、DATA_WRITE、CODE_READ 等。IA-32 手册卷 3B 的附录 A 中列出了每种 IA-32 处理器所支持的全部事件类型。

(2) 3 位的计数器控制域 CC(Counter Control):用来设置计数器选项,其可能值和含义如下。

  • 000:停止计数。
  • 001:当 CPL=0、1 或 2 时对选定的事件计数。
  • 010:当 CPL=3 时对选定的事件计数。
  • 011:不论 CPL 为何值,都对选定的事件计数。
  • 100:停止计数。

注意:由于图片质量或者 OCR 引擎的限制,可能会存在一些错误或者遗漏的信息。建议您仔细校验并补充缺失的部分。



dc441fe8c622c47a9dd5eb40a7302032

耶稣啊! 耶稣啊! 耶稣啊! 我感谢你!感谢你拯救我灵魂! 耶稣啊,我 是灵魂,我的本质是灵魂,真正的我是灵魂。 我灵魂得罪了上帝,我灵魂对上帝犯了罪。 我原本是该死,该灭亡的罪人,我是亚当里 面的罪人,我要受永远刑罚的罪人,我是 要下地狱的罪人。 耶稣啊!我原本是上帝的儿子,因为被魔鬼 骗,成为了魔鬼的奴仆。我得罪了上帝,成 为了魔鬼的儿子,成为了上帝的仇敌。耶稣 啊!我所思所想所行的,全是得罪上帝的, 我没有一样是对的,我都是错的,唯有耶稣 你是对的。 主啊!感谢你赦免我的罪!感谢耶稣!我得 罪了你,我成了你的仇敌,我被魔鬼骗了呀! 耶稣啊!我本该下地狱呀!本该受永远的刑 罚呀!本该被火烧呀!本该被虫咬呀!耶稣 啊!感谢你! 感谢你赦免我的罪,感谢耶稣 为我要下地狱的罪,钉死在十字架上!感谢 耶稣你担当了我的诅咒,感谢耶稣你担当我 的刑罚,感谢耶稣你在十字架上的功劳啊! 感谢你为我灵魂的罪流血了!因着耶稣的宝



11136015767ddf7fd3e341136d87dacc

优 + 课堂(五)语文 RJ 六年级上册第五单元说明 :1. 时间 90 分钟。2. 书写整 5 分。评价一、阅读语段,完成练习。(14%) 第一部分 [积累运用] 草长莺飞二月天,每逢周末,大人们都会领着孩子去郊游。一时间,草地上搭满了 zhong()。孩子们 shuai() 开手脚 ,bengtao() 闹腾,大人们的眼睛眯成一条缝 (), 笑盈盈地看着他们。不知什么时候,天空淅淅沥沥地下起了小雨,但谁也不恼,只因 " 春雨贵如油 "这句 yanyu(), 妇孺皆知,大家都静静地等待雨停。1. 根据语境,读拼音写字词。(4%)2. 根据 "孺”的形旁,可猜测 "妇孺皆知这个词语与 "有关系 ; 根据 "粒粒皆辛苦”中的 " 皆的意思 ,"妇孺皆知中的 " 皆可迁移理解为综上 ,"妇孺皆知的意思是 (3%3." 在 " 春雨贵如油中,抓住关键字 "贵可以理解这句话的意思是说明这样的句子我还知道 :(3%)4." 草长莺飞二月天出自清代诗人人高鼎的《》, 这首诗的后两句是", 写出了 (4%) 学校二、选择题。(12%)1 下列词中的 "直与理直气壮中的直意思相同的一项是 ()A 心直口快 B 挺直腰杆 C 横冲直撞 D 正直无私 2 下列句子中与其他三个句子类型不同的一项是 ()A 六月六,看谷秀 B 处暑不出头,割谷喂老牛 C 百日不下雨—久情(晴 ).D 蚂蚁搬家蛇过道,大雨不久就要来到第 1 页(共 4 页)



98bcfe7d9cf889f1ff1603e4513f8d66
\[(2) \text{试说明长期借款筹资的优点与缺点}\]

答 :

(1) 长期借款筹资的优点主要有:

  • 借款筹资速度较快。
  • 借款资本成本较低。
  • 借款筹资弹性较大。
  • 可以发挥财务杠杆的作用。

(2) 长期借款筹资的缺点主要有:

  • 借款筹资风险较大。
  • 借款筹资限制条件较多。
  • 借款筹资数量有限。
\[(2) \text{试融资租赁筹资的优点与缺点}\]

答 :

(1) 融资租赁筹资的优点主要有:

  • 融资租赁能够迅速获得所需资产。
  • 融资租赁的限制条件较少。
  • 融资租赁可以避免承担设备陈旧时的风险。
  • 可以适当降低不能偿付的风险。
  • 融资租赁的租金费用允许在所得税前扣除,承租企业能够享受节税利益。

(2) 融资租赁筹资的缺点主要有 : 成本较高;承租企业在财务困难时期,支付固定的租金也将成为一项沉重的负担;另外,采用融资租赁筹资方式如不能享有设备残值,也可视为承租企业的一种机会成本。

\[(2) \text{试说明优先股筹资的优点与缺点}\]

答 :

(1) 优先股筹资的优点主要有:

  • 分配固定的比例的股利
  • 分配公司的剩余资产
  • 优先股股东一般无表决权
  • 优先股可由公司赎回

(2) 优先股筹资的缺点主要有:

  • 优先股的资金成本虽然低于普通股,但一般高于债券。
  • 优先股筹资的制约因素较多。例如,为了保证优先股的固定股利,当企业盈利不多时,普通股就可能分不到股利。
  • 可能形成较重的财务负担。
\[(3) \text{企业为什么持有现金? 现金管理的内容有哪些?}\]

7e4711853dbb6a139918dda1c6e2c847

文明施工检查评分表

序号 检查项目 扣分标准 分值
1 现场围挡 市区主要路段的工地未设置封闭围挡或围挡高度低于 2.5m, 扣 5~10 分 ; 一般路段的工地未设置封闭围挡或围挡高度低于 1.8m, 扣 5~10 分。 10
2 封闭管理 施工现场进出口未设置大门,扣 10 分 ; 未设置门卫管理制度或未配备门卫人员,扣 2~6 分 ; 施工人员进入施工现场未佩戴工作卡,扣 2 分 ; 未在施工现场出入口设置企业名称或标识,扣 2 分 ; 未设置车辆冲洗设施,扣 3 分。 10
3 施工场地 未对施工现场的主要道路及材料加工地区进行硬化处理,扣 5 分 ; 施工现场的道路不畅通、路面不平整坚实,扣 5 分 ; 施工现场未采取防尘措施,扣 3 分 ; 施工现场未采取排水设施或排水不通畅、有积水,扣 2~10 分 ; 未设置吸烟处、临时厕所,扣 5 分 ; 温季节未进行绿化布置,扣 3 分。 10
4 材料管理 建筑材料、构件、配件未按平面布局堆放,扣 4 分 ; 材料堆放不整齐、未标明名称、规格,扣 2 分 ; 施工现场存放建筑材料、设备未采取防火、防盗、防雨措施,扣 3~10 分 ; 易燃易爆物品未分类存储在专用库房,未采取防水措施,扣 5~10 分。 10
5 办公室与宿舍 施工作业区、材料存放区与办公、生活区未采取隔离措施,扣 6 分 ; 办公室、宿  


3ed263ea75b2104164b1c08bef8e8020

房产只要持有就能升值,从经济原则看,这未免可笑。种种违背原则的行为大行其道,被认为理所当然。但是泡沫破裂后,可望增值的资产转眼间变为负资产,不少企业落下一身债务。

你是事后诸葛亮,泡沫破灭后才说风凉话 —— 有人或许这么说。然而,只要你懂得原理原则,只要你持有正确的哲学,不管出现什么潮流,你都能做出正确判断。

当时,京瓷靠多年辛苦积累,已拥有巨额现金存款。许多旁人劝我投资不动产。其中还有银行的人,他们见我“不许动”,还恳切地教我如何赚钱的奥秘。

但我认为,就算来钱,那也是不义之财,来得容易去得快。因为我这么想,所以有关投资的建议概回绝。

“只有额头流汗,靠自己努力赚来的钱才是真正的利益润” —— 我的信念就这么单纯。这来自做人的正确的原理原则,所以,在巨额暴利的引诱面前,我能告诫自己“不起贪念”。我内心从未有过丝毫动摇。

由此可见,即使蒙受损失也必须遵循的哲学,明知吃苦也甘愿承受的觉悟 —— 自己心中有没有这种哲学和觉悟,这就是事业成功与否、人生幸福与否的分水岭。

“不是因为能够承担重要工作,才有资格向公司要求更多的报酬。而是有了足够的资格,才能被允许从事重要的工作。”

“不是因为能够承担重要工作,才有资格向公司要求更多的报酬。而是有了足够的资格,才能被允许从事重要的工作。”



bdd65d941f57f8a43a4fafc1739fe6ce

北京增值税专用发票

发票联 —— 抵扣联

购货单位名称:国家管网集团有限责仼公司

地址、电话:山东省济南市历下区世纪大道 1800 号

开户行及账号:中国工商银行济南石化新区支行 16020073092000

销货单位名称:能源科技有限公司

地址、电话:北京市海淀区苏州街 54 号

开户行及账号:中国民生银行股份有限公司北京天通苑支行 4005588

货物或应税劳务、服务名称:研发和技术服务 *技术服务费

规格型号:无

数量:1

单价:94,339.62 元

税率:6%

税额:5,660.38 元

合计(大写):壹拾万圆整

合计(小写):¥100,000.00 元

价税合计(大写):壹拾万圆整

价税合计(小写):¥100,000.00 元

收款人:李丽丽

复核:金亮

开票人:刘少培



45e93d880268bc66a1926b7284162160

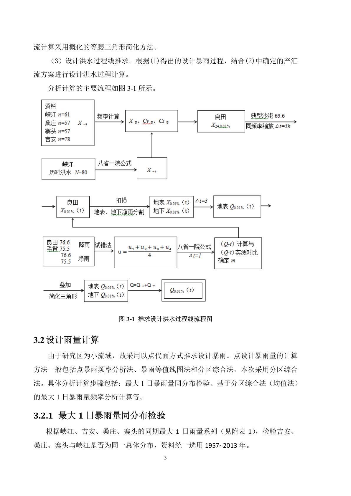
(3) 设计洪水过程线推求。根据 (1) 得出的设计暴雨过程,结合 (2) 中确定的产汇流方案进行设计洪水过程计算。

分析计算的主要流程如图 3-1 所示。

\[\text{资料} \quad \text{峡江}=61, \quad \text{桑庄}=57, \quad \text{寨头}=57, \quad \text{吉安}=78\] \[\text{频率计算} \quad X_{0.98}=C_v C_s s_t\] \[\text{良田} \quad \text{曲型沙港}=69.6, \quad \text{同频率偏移}\Delta t=3h\] \[\begin{aligned} &\text{峡江历时洪水}=\text{N}=80 \\ &\text{峡江}=X_{0.98} \end{aligned}\]

\(\text{良田} \quad \text{扣损} \quad \text{地表}\)$^{\prime}{0.01}(t)\(_{}$ $\quad$ 地下\)_{0.01}(t)$$

\(\text{地表}\){0.01}(t)\(_{}$ $\quad$ 地下\){0.01}(t)$$

\[\text{良田} \quad 76.6 \quad \text{降雨} \quad \text{试算法} \quad u_1+u_2+u_3+u_4=\frac{(Q-t)}{t} \quad \text{(八省一院公式)}\] \[(Q-t) \text{计算与} (Q-t) \text{实测对比} \quad \text{确定} m\]

\(\text{叠加} \quad \text{地表}\){0.01}(t)\(_{}$ $+$ 地下\){0.01}(t)$$

\(\text{地表}\){0.01}(t)\(_{}$ $=$ Q\){0.01}(t)\($\quad$ 地下\){0.01}(t)\($=$ Q\){0.01}(t)$$

图 3-1 推算设计洪水过程线流程图

3.2 设计雨量计算

由于研究区为小流域,故采用以点代面方式推求设计暴雨。点设计暴雨量的计算方法一般包括点暴雨频率分析法、暴雨等值线图法和分区综合法,本次采用分区综合法。具体分析计算步骤包括:最大 1 日暴雨量同分布检验、基于分区综合法(均值法)的最大 1 日暴雨量频率分析计算等。

3.2.1 最大 1 日暴雨量同分布检验

根据峡江、吉安、桑庄、寨头的同期最大 1 日雨量系列(见附表 1),检验吉安、桑庄、寨头与峡江是否为同一总体分布,资料统一选定 1957–2013 年。



fc5e8b0f0132c35dbf24edbe67dd8864

同音字、多音字专项训练

一、写出下列的同音字。 (1) zhū() 宝 植() 肥()() 红 (2) ji() 忙() 时 南() 立() (3) mi() 蜂() 书 茂()() 林 (4) chéng() 现() 长() 市 实() (5) qí() 他 围() 市() 马() 怪 (6) fù() 责() 亲 有() 女() 习 (7) jú() 水() 生 非() (8) xìng() 动() 态 模() (9) líng() 食() 锐() 巧() (10) biàn() 论() 别

二、多音字。 1、给多音字注音并组词。 杆

2、读句子,用√画出加点字的正确读音。 (1) 这个脾气暴躁的后妈把米撒 (sā sǎ) 了一地,居然拿可怜的灰姑娘撒 (sā sǎ) 气。 (2) 妈妈夸我的毛笔字写得苍劲 (jìn jìng) 有力,我听了之后,写字的劲 (jìn jìng) 头更足了。 (3) 看到大家都不相信他,他急得嚷 (rāng rǎng) 起来,脸涨 (zhàng zhǎng) 得通红。

  1. 给加点字选择正确的拼音,打“/”。 差别 (chà cha)/ 闲散 (sǎn san)/ 崇高 (cóng chóng) 纤细 (xiān qiān)/ 投掷 (zhì zhèng)/ 呈现 (chén chéng) 薄片 (bó báo)/ 灰尘 (cén chén)/ 栏杆 (gān gǎn)

注意:以上内容仅限于 OCR 解析,未进行数学符号处理。



0d07eb34600ac19166742e082ce286d1

期间将学习习近平总书记关于安全生产重要论述作为安全生产月的首要学习任务,专题学习《生命重于泰山 —— 学习习近平总书记关于安全生产重要论述》电视专题片,教育引导领导干部强化“人民至上、生命至上”理念,更好统筹发展和安全,切实把安全责任扛在肩上、落在行动上,以实际行动和实际效果做到“两个维护”。通过安全生产“大讲堂”、“大家谈”、“公开课”、“微课堂”和在线访谈、基层宣讲等形式,持续推进习近平总书记关于安全生产重要论述入脑入心、见行见效,转化为落实安全生产责任的自觉行动,全力维护安全生产形势稳定,为庆祝建党 100 周年营造良好安全环境。

2、举办“安全生产月”启动仪式

2023 年 6 月 X 日,我 XXX 成功举办 2023 年“安全生产月”活动启动仪式,通过活动的开展掀起广泛开展安全生产月活动的序幕,使参与人员牢固树立“安全第一、预防为主、综合治理”的理念,进一步强化红线意识,坚守安全底线,落实安全责任,普及安全知识,提高安全技能,从而全面提升 XX 安全生产管理水平,为建设安全优质 XX 工程奠定坚实基础。

3、利用标语、宣传栏等宣传工具开展安全宣传活动

为在 XX 范围内营造“安全生产月”活动的良好氛围,我 XX 特定制并悬挂了“安全生产月”主题条幅,在 XX 部宣传栏安置了“安全生产月”专题展板,并利用 LED 显示屏 24 小时滚动播放活动标语,大力宣传安全生产方针政策法律法规知识、消防安全常识等,通过宣传使广大职工充分认识到了安全生产的重要意义,提高了自 …



16c1baa478a02d268d1f508c4afa658d

表 2 10 kV 干式三相双绕组无励磁调压配电变压器能效等级

额定容量 kVA 空载损耗 W 负载损耗 W 短路阻抗 %                        
B F H B F H B F H B F H        
30 105 640 685 50 640 685 130 640 685 60 640 685 90 640 685
50 845 900 965 60 845 900 185 845 900 75 845 900 120 845 900
80 210 1,160 1,240 330 1,160 1,240 250 1,160 1,240 120 1,160 1,240 145 1,160 1,240
100 230 1,330 1,415 520 1,330 1,415 270 1,330 1,415 110 1,330 1,415 150 1,330 1,415
125 270 1,565 1,665 780 1,565 1,665 320 1,565 1,665 130 1,565 1,665 170 1,565 1,665
160 310 1,800 1,915 1,200 1,800 1,915 360 1,800 1,915 140 1,800 1,915 195 1,800 1,915
200 360 2,135 2,275 440 2,135 2,275 420 2,135 2,275 170 2,135 2,275 240 2,135 2,275
250 415 2,330 2,485 665 2,330 2,485 490 2,330 2,485 195 2,330 2,485 290 2,330 2,485
315 495 2,945 3,125 650 2,945 3,125 910 2,945 3,125 265 2,945 3,125 360 2,945 3,125
400 570 3,575 3,590 850 3,575 3,590 785 3,575 3,590 310 3,575 3,590 430 3,575 3,590
630 775 4,595 4,705 250 4,595 4,705 790 4,595 4,705 410 4,595 4,705 1,070 4,595 4,705
800 970 5,795 5,895 265 5,795 5,895 1,040 5,795 5,895 470 5,795 5,895 1,215 5,795 5,895
1000 1,200 6,885 7,135 355 6,885 7,135 1,205 6,885 7,135 530 6,885 7,135 1,415 6,885 7,135
1250 1,410 8,190 8,720 410 8,190 8,720 1,370 8,190 8,720 645 8,190 8,720 1,665 8,190 8,720
1600 1,560 9,495                          


89d123c3909c88d857703c70c6363218

平。推荐的技术装备需满足以下条件 : (一)技术装备行业领先,处于开发、应用或推广阶段。其 中,开发类指通过自主研发、技术引进等方式,实现重大技 术突破、已经用户初步验证的技术装备 ; 应用类指国内领 先、具有行业引领作用和市场应用前景、已实现产业化生 产的技术装备 ; 推广类指技术成熟可靠、推广潜力大、经 济适用且有成功应用案例的技术装备。 (二)技术装备符合相关产品质量标准、环境保护设施验 收技术规范要求,应用后污染物控制优于国家污染排放相 关标准要求,或优于重点区域、重点领域、重点行业特别 排放限值等相关要求。 (三)推荐范围包括大气污染防治、水污染防治、土壤污 染修复、固体废物处理、噪声与振动控制、环境监测专用 仪器仪表、环境污染防治专用材料和药剂、环境污染应急 处理、环境污染防治设备专用零部件、减污降碳协同处置 10 个重点领域。鼓励推荐脱硫、脱硝、细颗粒物、挥发性 有机物处理及多种污染物协同控制技术装备,高盐工业废 水、电镀废水、垃圾渗滤液等水处理技术装备,污泥高效 脱水及处理、土壤重金属污染治理、农村水污染和垃圾处 理、医疗废物处理、垃圾焚烧飞灰、铝灰处理等技术装 备。 二、工作要求 (一)请各省级工业和信息化主管部门会同生态环境主 管部



2541d8c24511f85299cdbcc5e014f747

销售货物或者提供税劳务、服务清单

购买方名称:有限公司

销售方名称:大药房

所属增值税电子专用发票代码:014002100013 号 码:00162321 共 2 页 第 1 页 序 号项目 名 称规格型号单位数量单价金额税率税额 1医药 + 云南白药创可贴 100 贴盒 75$37,623.762$752.48%1%2中成药 + 伤湿止痛膏 4g 盒 75$9,900.99$742.57%1%3中成药 + 云南白药粉气雾剂 50g 瓶 5$34,653.465$371.29%1%4化学药品制剂 + 湿润烧伤膏 20g 支 10$84,158.416$841.58%1%5化学药品制剂 + 麝香正气水 10ml×1 支 10$37,623.762$376.24%1%6化学药品制剂 + 红霉素眼膏 1g 支 7$7,920.792$79.21%1%7化学药品制剂 + 氧氟沙星滴眼液 2ml 支 5$27,722.772$277.23%1%8中药饮片 + 效救心丸 180 丸×2 瓶盒 5$57,425.743$287.13%1%9化学药品制剂 + 氢化可的松软膏 100mg×100 瓶 772,772.287$772.28%1%10化学药品制剂 + 氨甲环酸注射液 250ml 瓶 160$2,970.297$475.25%1%11化学药品制剂 + 葡萄糖注射液 250ml 瓶 160$2,970.297$475.25%1%12化学药品制剂 + 氯化钠注射液 250ml 瓶 160$2,970.297$475.25%1%13化学药品制剂 + 碳酸氢钠注射液 250ml 瓶 8$24,752.475$198.02%1%14化学药品制剂 + 右旋糖酐 40 氯化钠注射液 250ml 瓶 10$47,524.752$475.25%1%15化学药品制剂 + 盐酸肾上腺素注射液 1ml×10 支盒 5$94,059.406$470.30%1%16化学药品制剂 + 盐酸奈福泮注射液 1ml×10 支盒 5$29,702.97$148.51%1%17化学药品制剂 + 甘露醇注射液 250ml 瓶 10$14,851.485$148.51%1%18化学药品制剂 + 盐消旋山莨菪碱注射液 1ml×10 支盒 5$41,584.158$207.92%1%19化学药品制剂 + 马来酸氨苯那敏注射液 1ml×10 支盒 5$29,702.97$148.51%1%20化学药品制剂 + 酒精 5 酒精 15$9,900.99$94.06%1%21化学药品制剂 + 复方甘草酸铵针 2ml×10 支盒 5$24,752.475$123.76%1%22化学药品制剂 + 马应龙痔疮膏 1ml×10 支盒 5$29,702.97$148.51%1%23医药医用碘伏新洁尔灭消毒液 500ml 瓶 1$9,900.99$94.06%1%24化学制品化学品 + 新洁尔灭消毒剂 500ml 瓶 1$9,900.99$94.06%1%25有机化学原料过氧化氢溶液 500ml 瓶 1$9,900.99$94.06%1%26有机化学原料乙酸 500ml 瓶 4$64,356.436$257.43%1%27*有机化学原料醋酸 150ml 瓶 4$2,475.247$171.69%1% 开票日期:2023 年 06 月 26 日小计 总 计 $8,405.93 $143.76



54c6ba1a058257395512bc7847ce58d1

Neuron 374

(1)

in which K and L are equilibrium constants for the binding of cGMP to a subunit and the allosteric transition, respectively; [cG] is the cGMP concentration; x is the fold effect of modification of each C481 on L; and p is the probability of exposure time to modification reagent. Because the activation of CN channels generally shows a Hill slope of 2 for activation by cGMP, only two binding steps and two modification steps were modeled; models with four modification steps would yield similar fitting results.

Fluorescence Quenching

Quenching by iodide or thallium ion involves a collisional quenching mechanism that can be described by the Stern-Volmer equation:

(2)

in which F and Fo are fluorescence intensity with and without quencher, respectively; Kq is the quenching constant; and [Q] is the concentration of the quencher (Lehre, 1971; Lakowicz, 1999). The steady-state fluorescence signal from the patch is modeled as from two fluorophore populations, those attached to C481 in the channel and those bound nonspecifically to the membrane. Fluorescent quenching can be described as:

(3)

in which K0i and Kni are quenching constants for channel-attached fluorophores and nonspecifically bound fluorophores, respectively; and f is the fraction of fluorophores on the channels. K0i was determined by fluorescence quenching of unmodified oocytes or oocytes expressing cNG channels. The quenching constant in solution was measured by diluting Alexa488 to a final concentration of 0.4 uM into solutions containing various concentrations of iodide. Fluorescence intensity was then measured with a fluorometer.

Acknowledgments

We are grateful to Heidi Utsugi, Black, and Gay Sheridan for technical assistance; Kimberly Matulef and Michael Varnum for making the cDNA constructs; and Paulette Brunner from the Keck Imaging Center for help with confocal microscopy. We thank Richard Aldrich, Tom Middendorf, and Michael Varnum for comments on the manuscript; Galen Flynn, Matthew Trudeau, Kimberly Matulef, and J.P. Johnson, Jr., for helpful discussions. This work was supported by the Howard Hughes Medical Institute and a grant from the National Eye Institute (EY10329) to W.N.Z. Received August 3, 2000; revised September 11, 2000.

References

Brown, R.L., Snow, S.D., and Haley, T.L. (1998). Movement of gating machinery during the activation of rod cyclic nucleotide-gated channels. Biochemistry, 25, 825-835. Cha, A., and Bezanilla, F. (1997). Characterizing voltage-dependent conformational changes in the Shaker K+ channel with fluorescence. Neuron, 19, 1127-1140. Cha, A., Snyder, G.E., Selvin, P.R., and Bezanilla, F. (1999). Atomic scale movement of the voltage-sensing region in potassium channels using voltage-sensitive dyes. Nature, 402, 809-813. Dhallan, R.S., Yau, K.W., Schrader, K.A., and Reed, R.R. (1990). Primary structure and functional expression of a cyclic nucleotide- activated channel from olfactory neurons. Nature, 347, 184-187. Glauner, K.S., Mannuzzu, L.M., Gandhi, C.S., and Isacoff, E.Y. (1996). Spectroscopic mapping of voltage sensor movement in the Shaker potassium channel. Nature, 380, 438-442. Gordon, S.E., and Zagotta, W.N. (1995a). A histidine residue associated with the gate of the cyclic nucleotide- activated channels in rod photoreceptors. Neuron, 14, 177-183. Gordon, S.E., and Zagotta, W.N. (1995b). Localization regions affecting an allosteric transition in cyclic nucleotide-activated channels. Neuron, 14, 857-864. Gordon, S.E., Oakley, J.C., Varnum, M.D., and Zagotta, W.N. (1996). Altered ligand specificity by protonation in the ligand binding domain of cyclic nucleotide-gated channels. Biochemistry, 35, 3994-4001. Gordon, S.E., Varnum, M.D., and Zagotta, W.N. (1997). Direct interaction between amino- and carboxyl-terminal domains of cyclic nucleotide-gated channels. JBC, 272, 14414-14417. Goulding, E.H., Ngai, J., Kramer, R.H., Colicos, X., Axel, R., Siegelbaum, S.A., and Chess, A. (1992). Molecular cloning and single-channel properties of the cyclic nucleotide-gated channel from catfish olfactory neurons. JNCI, 8, 45-58. Hamill, O.P., Marty, A., Neher, E., Sakmann, B., and Sigworth, F.J. (1981). Improved patch-clamp techniques for high-resolution current recording from cells and cell-free membrane patches. Pflügers Arch, 391, 85-100. Jan, L.Y., and Jan, Y.N. (1990). A superfamily of ion channels. Nature, 345, 672. Kaupp, U.B., Nilius, T., Tanabe, T., Terada, S., Bonigk, W., Stummer, W., Cook, N.J., Kangawa, M., Matsuo, H., Hirose, T., et al. (1998). Primary structure and functional expression of complementary DNA encoding rod cyclic guanosine monophosphate-gated channels. JBC, 273, 762-766. Lakowicz, J. (1999). Principle of Fluorescence Spectroscopy, Second Edition (New York and London: Plenum Press). Macri, J.J., Chrin, L.R., and Berger, C.L. (2000). Dynamics of Lys-553 in the hKv1.5 channel. FEBS Lett, 270, 24-29. Matulef, K., Flynn, G.E., and Zagotta, W.N. (1999). Molecular



a768ade6c38cfdb707bb2324b2a81d58
  1. 写近义词。\n 温暖 —— (温和)想念 —— (思念)有趣 —— (有味 )\n\n6. 写反义词。\n 弯 —— (直)想念 —— (忘记)温暖 —— (寒冷 )\n\n7. 填量词。\n 一(口)井 一(块)石碑 一(条)小路 一(座)天安门 \n 一(匹)马 一(辆)车 一(片)清凉 一(个)太阳 \n 一(本)书 一(棵)树 一(支)铅笔 一(架)飞机 \n\n8. 词语搭配。\n(安静)的小路 (繁华)的北京城 (庄严)的天安门 \n(宽阔)的公路 (洁白)的雪莲 (迷人)的天山 \n(明媚)的阳光 (美好)的季节 (美丽)的梦 \n(庄重)的升旗仪式 \n\n9. 写表动作的词。\n(刻)石碑 (找)影子 (讲)好梦 (讲)故事 \n\n10. 照样子,写词语。\n 例 : 各种各样 (ABAC 式 )\n 背诵积累 \n 春晓 \n[唐] 孟浩然 \n 春眠不觉晓,处处闻啼鸟。\n 夜来风雨声,花落知多少。


db8905b22a21f27318e1d724d64b0f3d

项目部院内应设置三根旗帜杆。项目经理部应设置面积不少于 40m2 一线工人业余学校;室内张贴安全、质量管理方面的宣传标语及教学组织机构。b. 室内地面铺设地砖,安装空调,并配备 30 张以上凳子、2.0m×1.8 m 的黑板及讲台、粉笔、黑板擦等教学设备,如图 1.5 所示。医疗卫生室面积不少于 12 m²,地面铺设瓷砖,安装空调,并配有专职医务人员,配备常用药品、担架等 ; 档案资料室室内面积不少于 40m2, 门窗齐全,配备有空调和消防设备,并有合理的防潮措施项目经理部应为监理工程师提供两房间用于现场办公和居住,每间面积不小



45fba9bb7e7a442b367799e18f1a57fa

表 4.2-8 底泥污染情况统计结果表

检测项目 单位 T1 T2 T3 T4 GB36600-2018 第一类用地筛选值评价 GB15618-2018 筛选值评价      
pH 值 无量纲 7.73 7.67 7.74 7.32 / /      
全氮 % 0.96 0.959 0.96 0.961 / /      
有机质 g/kg 15 14.5 15.8 14.6 / /      
总磷(C10-C40) mg/kg 283 282 235 336 826 0.021 0.087 0.044 0.050
mg/kg 0.1 0.084 0.071 0.063 8 0.013 0.011 0.009 0.008
mg/kg 13.8 13.5 14.3 14.2 20 0.690 0.675 0.715 0.710
mg/kg 30.3 41.5 33.8 35.6 400 0.076 0.104 0.085 0.089
mg/kg 30.3 41.5 33.8 35.6 400 0.076 0.104 0.085 0.089
六价铬 mg/kg ND ND ND ND 3 达标 达标 达标 达标
mg/kg 38 34 37 37 2000 0.019 0.017 0.019 0.019
mg/kg 46 42 45 42 150 0.307 0.280 0.300 0.280
mg/kg 99 96 98 91 / 水田 300 其他 100 其他 100 其他 100
mg/kg 115 121 127 174 / 其他 250 其他 300 其他 0.38 其他 0.40
挥发酚 mg/kg 0.8 0.5 1.1 1.2 / / / / /
注:ND 表示低于检出限,未检出,括号为检出限。                    

注:表格中的“/”表示没有数据或不适用。



cd6b178fe1d6f8c4e9bf1b03633fd201

京能电力阳曲县 500MWp 风光储一体发电项目可行性研究报告目录

1 综合说明 1.1 项目概述 1.2 太阳能及风能资源概况 1.3 工程地质 1.4 工程任务及建设规模 1.5 系统总体方案设计及发电量计算 1.6 电气工程 1.7 土建工程 1.8 生态规划方案设计 1.9 工程消防设计 1.10 施工组织设计 1.11 工程管理设计方案 1.12 环境保护与水土保持设计 1.13 劳动安全与工业卫生 1.14 节能分析

2 太阳能能源及风能能源概况 2.1 概述 2.2 风能资源

3 工程地质依据 3.1 设计依据 3.2 概述 3.3 勘察阶段、目的和任务 3.4 勘察技术要求及勘察等级 3.5 结论

4 工程任务及建设规模 4.1 工程任务 4.2 工程建设的必要性 4.3 工程建设规模及发电量计算

5 光伏系统总体方案设计及发电量计算 5.1 设计依据 5.2 光伏组件选型 5.3 光伏阵列运行方式选择 5.4 逆变器选型 5.5 发电单元系统设计 5.6 集电线



97ffbe7a1828343de7cb9571470e5267

初中文刷题 英语九年级 译林牛津版 Period 4 Integrated skills & Study skills 刷基础 建议用时:10 分钟 答案见 D5 I 根据句意及汉语提示,写出单词的正确形式,每空一词。 1. [2023 江苏盐城中期]12 animal signs appear in a(固定的)order and the cycle repeats every 12 years. 2. [2023 江苏无锡中期]Sarah is so bright,(活泼的)and cheerful that all of us would like to make friends with her. 2022 广西柳州中考]The school(日历)tells us the date of the school-leavers' party. 4. When my grandmother saw me, gradually a smile(出现)on her face. 2022 江苏海安调研]His experiences(塑造)his ideas during the war. II 单项选择 6. There are 54 students in their class ,and half of them are boys A.in all B.in brief C.in case D.in place 7. [2022 江苏东中学质检]Her many years of service to the company won high praise from society. A.modest B.suitable C.fixed D.loyal 8.-Is Mr Wu's speech ? broadcast Yes, it is very interesting and A.live; alive B.lively; alive C.alive; living D.live; lively 9.[2022 江苏连云港中考]The traditional Chinese lunar calendar a year solar terms( 节气 ). A.divides into B.mixes with C.translates into D.covers;



4302a75998609f67ce3bbfe40c9fc428

目录

一、投標函及投標函附屬

(一)投標函 … 1

(二)投標函附屬 … 2

二、法定代表人身份證明及授權委托書

(一)法人身份證明 … 3

(二)授權委託書 … 4

三、聯合體協議書 … 8

四、投標保證金 … 9

五、價格清單

5.1 投標報價匯總表 … 10

5.2 設計及技術服務費單 … 11

5.3 工程設備費清單 … 12

5.4 建築安裝工程費清單 … 17

六、承包人建議書 … 31

(一)圖紙

  1. 設計規範及依據 … 31

  2. 效果圖 … 33

  3. 圖紙(包含樁基礎施工圖)… 35

(二)工程詳細說明

  1. 工程概述 … 158

  2. 概述 … 158

  3. 氣象條件 … 158

  4. 投標範圍及接口 … 161

  5. 建設方案概述 … 161

(三)設計方案

  1. 對項目的理解 … 162

  2. 設計圖紙和技術方案 … 163



f4ebabeb748b63121a45f8de1946511a

2023 年普通高校招生计划(普通类) 院校 [专业类] 代码、名称及简称 招生科类 招生人数 学费参考(元 / 年) 313 广告学(只招参加该校 "三位一体 "综合评价招生考试并获得入围资格的考生。具体规则详见该校招生章程)不限 5 4 5300 314 历史学(只招参加该校 "三位一体 "综合评价招生考试并获得入围资格的考生。具体规则详见该校招生章程)地 / 物 5 4 5300 315 数学与应用数学(只招参加该校 "三位一体 "综合评价招生考试并获得入围资格的考生。具体规则详见该校招生章程)物 7 4 5300 316 应用统计(只招参加该校 "三位一体 "综合评价招生考试并获得入围资格的考生。具体规则详见该校招生章程)生 / 物 8 4 6095 317 电子信息类(只招参加该校 "三位一体 "综合评价招生考试并获得入围资格的考生。具体规则详见该校招生章程,含电子信息技术、通信工程专业)不限 5 4 5300 318 计算机类(只招参加该校 "三位一体 "综合评价招生考试并获得入围资格的考生。具体规则详见该校招生章程,含计算机技术、软件信息、信息安全专业)物 26 4 6000 319 信息管理与信息系统(只招参加该校 "三位一体 "综合评价招生考试并获得入围资格的考生。具体规则详见该校招生章程)物 10 4 5300 320 绘画科学与工程(只招参加该校 "三位一体 "综合评价招生考试并获得入围资格的考生。具体规则详见该校招生章程)物 8 4 6000 321 应用心理学(只招参加该校 "三位一体 "综合评价招生考试并获得入围资格的考生。具体规则详见该校招生章程)不限 5 4 5300 322 食品科学与工程类(只招参加该校 "三位一体 "综合评价招生考试并获得入围资格的考生。具体规则详见该校招生章程,含食品科学与工程、食品质量与安全专业)化 / 生 30 4 6000 323 城乡规划(只招参加该校 "三位一体 "综合评价招生考试并获得入围资格的考生。具体规则详见该校招生章程)物 / 技 15 4 6000 324 生物工程(只招参加该校 "三位一体 "综合评价招生考试并获得入围资格的考生。具体规则详见该校招生章程)物 / 生 8 4 6000 325 工商管理类(只招参加该校 "三位一体 "综合评价招生考试并获得入围资格的考生。具体规则详见该校招生章程,含工商管理、市场营销、人力资源管理、国际商务等专业)不限 18 4 5300 326 公共管理类(只招参加该校 "三位一体 "综合评价招生考试并获得入围资格的考生。具体规则详见该校招生章程,含行政管理、土地资源管理、文化产业管理等专业)不限 18 4 5300 008 浙江理工大学(省重点建设高校)下沙校区 001 数学类(按数理类培养 )( 只招参加该校 "三位一体 "综合评价招生考试并获得入围资格的考生。具体规则详见该校招生章程,含数学与应用数学、应用物理学、信息与计算科学等专业)物 25 4 5300 002 化学类(只招参加该校 "三位一体 "综合评价招生考试并获得入围资格的考生。具体规则详见该校招生章程,含化学与材料科学、环境科学与工程等专业)化 20 4 5300 003 纺织类(只招参加该校 "三位一体 "综合评价招生考试并获得入围资格的考生。具体规则详见该校招生章程,含纺织工程、非织造材料与工程等专业)化 / 技 30 4 6000



a2ca2d1895f358a88ff0112b29ce0562

50

2023 年普通高校招生计划(普通类)

院校 [专业(专业方向 )] 代码、选考科目、招生人数(人 )、学制(年 )、学费参考及备注

002 人文类要求高考成绩(不含加分)不低于特殊类型招生控制线。人文艺术包括文学学院、教育学院、法学院和社会科学、中国语言文学、文化研究、英文、艺术、历史、日本研究、神学、翻译、中国语文教育、英国语文教育、学习设计与科技、法学、建筑学、经济学、地理与资源管理、政治学、心理学、社会工作学、社会科学、新闻与传播、城市研究] 不限 4145000 港元

8102 香港城市大学(香港 )[商学院][要求高考成绩(不含加分)不低于特殊类型招生控制线。要求高考英语成绩不低于 120 分。按学院招生专业的安排,详情见内地本科招生网页 www.cityu.edu.hk/mainland 之 2023 年本科内地招生章程第五章。有关入学奖学金的分数要求及具体细则,详情见内地本科招生网页 www.cityu.edu.hk/mainland/scholarship_admission.htm 或香港城市大学本科招生微信公众号] 不限 4145000 港元

003 商科类 [要求高考成绩(不含加分)不低于特殊类型招生控制线。要求高考英语成绩不低于 120 分。商科类包括工商经济与金融、酒店旅游及房地产、保险管理学士综合课程、环球商业与国际商贸与中国企业、工商管理学士与法律博士双学位课程、全球会计与风险管理科学] 不限 4145000 港元

004 理科类 [要求高考成绩(不含加分)不低于特殊类型招生控制线。要求高考英语成绩不低于 120 分。理科类包括生物医学、中医药、内科学、护理学、药剂学、公共卫生、物理、化学、地球与环境科学、食品与营养科学、数学、统计学、生物科技、创业与医疗管理、计算数据科学、数字精研、理论物理、物理化学、设计与科技、数学与信息工程学系、计量金融与风险管理系统科学] 物 / 生 / 化 44145000 港元

005 工科类 [要求高考成绩(不含加分)不低于特殊类型招生控制线。要求高考英语成绩不低于 120 分。工科类包括工程学院共 12 个专业,人工智能系统与科技、科技与医学工程、计算机科学、电子工程学、能源与环境工程学、金融科技、信息工程学、学习设计与科技、机械与自动化工程学、系统工程与工程管理] 物 / 生 / 化 44145000 港元



dd1177cef588a693d72fafa1f3879383

体育锻炼情况

  • 优秀:√

参加实践和获奖情况

  • 获奖时间:未填写
  • 获奖项目:未填写
  • 授奖单位:未填写

考勤记录

其他
节次          

奖励记录

  • 奖励时间:未填写
  • 奖励名称:未填写

自我评价

自我评价内容未填写

家长留言

家长留言内容未填写

学校通知

下学期开学日期等信息未填写

品行表现综合评价

序号 内容 品行表现
1 没有做出违反校规的事情,了解家乡的主要变化
2 遵守纪律,见到老师主动问好,听从老师的教导
3 认真学习,见贤思齐,向优秀的同学学习
4 不挑食,不浪费食物,能日礼节礼貌用语
5 尊重自己所属的集体,在集体中大胆表露
6 能独自把头天晚上的目标计划付诸行动,很有毅力
7 不粗心,不马虎,能按照师长的分析与推断发展自己的能力
8 情绪饱满,常带笑容,不为小事生气,不随意发怒
9 能自主地流露出自己的优点,不足之处及进步,能排列有序
10 能看着学习,不自傲,不自卑

学科学习成绩(等级)

科目 学期初 学期末
语文 A A
数学 A A
英语 A A
品德与社会 A A
艺术 A A
体育 A A
科学 A A
其他学科    

本学期需进一步努力的方向

  • 学科:未填写
  • 方向:未填写

本学期有进步的科目

  • 科目:未填写

班主任寄语

“你活泼开朗,正直诚恳,在校尊重老师,团结同学,有人情味,作为班干部做事认真负责,富有责任感,主动性强,爱动脑筋,但还需加强。”



e513898933462e28153e861656fb100a

风台县经济开发区污水处理厂建设项目工程可行性研究报告

流动资金估算表

建设期

序号 项目 单位 合计
1 流动资金 万元 1396
2 建设投资 万元 5270
3 经营成本 万元 4380
4 固定资产折旧费 万元 350
5 营业外支出 万元 0

运营期

序号 项目 单位 1 2 3 4 5 6 7 8 9 10 11 12 13 14 15 16 17 18 19 20 21 22 23 24 25  
营业收入 万元 169068 7045 7045 7045 7045 7045 7045 7045 7045 7045 7045 7045 7045 7045 7045 7045 7045 7045 7045 7045 7045 7045 7045 7045 7045  
销售成本 万元 / 吨 2.00 2.00 2.00 2.00 2.00 2.00 2.00 2.00 2.00 2.00 2.00 2.00 2.00 2.00 2.00 2.00 2.00 2.00 2.00 2.00 2.00 2.00 2.00 2.00 2.00  
年基本水量 万吨 730 730 730 730 730 730 730 730 730 730 730 730 730 730 730 730 730 730 730 730 730 730 730 730 730  
年处理量(实际)水量 万吨 730 730 730 730 730 730 730 730 730 730 730 730 730 730 730 730 730 730 730 730 730 730 730 730 730  
不足水量系数 % 90% 90% 90% 90% 90% 90% 90% 90% 90% 90% 90% 90% 90% 90% 90% 90% 90% 90% 90% 90% 90% 90% 90% 90% 90%  
折现率 % 10% 10% 10% 10% 10% 10% 10% 10% 10% 10% 10% 10% 10% 10% 10% 10% 10% 10% 10% 10% 10% 10% 10% 10% 10%  
税前财务内部收益率 % 21.979 91.916 91.916 91.916 91.916 91.916 91.916 91.916 91.916 91.916 91.916 91.916 91.916 91.916 91.916 91.916 91.916 91.916 91.916 91.916 91.916 91.916 91.916 91.916 91.916 91.916
比例税前财务内部收益率 % 70% 70% 70% 70% 70% 70% 70% 70% 70% 70% 70% 70% 70% 70%                        


73819ce82fe88dd7c27b7f2a5054be0f

附录 A(规范性)危险化学品储存配存

危险化学品储存配存应符合表 A.1 的要求。

表 A.1 危险化学品储存配存表

化学品危险和危害种类 爆炸物 易燃气体 氧化性气体 加压液化气 易燃液体 自反应物质和混合物 自燃液体、固体 发热物质和混合物 遇水放出易燃气体的物质 氧化性液体、固体 有机过氧化物 无机腐蚀性物品 有机腐蚀性物品
爆炸物 ×
易燃气体 × × × × × × × × × × × × ×
氧化性气体 × × × × × × × × × × × × ×
加压液化气 × × × × × × × × × × × × ×
易燃液体 × × × × × × × × × × × × ×
易燃固体 × × × × × × × × × × × × ×
自反应物质和混合物 × × × × × × × × × × × × ×
自燃液体、固体 × × × × × × × × × × × × ×
发热物质和混合物 × × × × × × × × × × × × ×
遇水放出易燃气体的物质 × × × × × × × × × × × × ×
氧化性液体、固体 × × × × × × × × × × × × ×
有机过氧化物 × × × × × × × × × × × × ×

GB/T 3603-2022



1bbc9f02c157b22bf33560d5cee74a80

附件 1

单位 总数 职业教育界人士 党委、政府部门及关心和支持职业教育事业的经济界人士
石家庄 10 1 3
承德 6 1 2
张家口 5 1 2
秦皇岛 6 2 1
唐山 9 3 3
廊坊 6 1 2
保定 9 1 3
沧州 9 3 2
衡水 5 1 2
邢台 7 1 2
邯郸 8 2 3
定州 3 1 1
辛集 3 1 1
雄安新区 3 1 1
省直 26 4 19
合计 115 4 29


e217fab13f72bb78e60a8524b4aa6190

部件名称 : 一二次热风道

发货清单编号 : 33V0878FM

零件单上序号 图号 零件单下编 号规格 名称规格 数量 发货号 包装示意 毛重 (KG) 材料 备注 库存日 期数量 日日期 数量 日日期 数量

22 1-28 33V0878-1-28-0 管子 1 33V087845/75 单发 165

23 1-34 33V0878-1-(34) 管子 φ219×6;L=8 米 1 33V087846/75 捆扎 252

24 1-42 33V0878-1-(42) 管子 φ325×4;L=1825 1 33V087847/75 单发 58

25 1-43 33V0878-1-(43) 管子 φ325×4;L=1854 1 33V087848/75 单发 59

26 1-44 33V0878-1-(44) 管子 φ325×4;L=5000 1 33V087849/75 单发 158

27 1-46 33V0878-1-(46) 弯头 2 33V087850-51/75 单发 x2358

28 2-1 33V0878-2-1-0 勾形管道 2 33V087852-53/75 单发 x2549

29 2-2 33V0878-2-2-0 风箱 2 33V087854-55/75 单发 x1679

30 2-3 33V0878-2-3-0 斜管箱 2 33V087856-57/75 单发 x4116

31 2-4 33V0878-2-4-0 勾形弯头 2 33V087858-59/75 单发 x560

32 2-5 33V0878-2-5-0 勾形管道 2 33V087860-61/75 单发 x36

33 2-6 33V0878-2-6-0 方圆接 64 2 33V087862-63/75 单发 x116

34 2-7 33V0878-2-(7) 管子 64:φ160x4;L=220 2 33V087864-65/75 单发 x279

35 2-9 33V0878-2-(9) 管子 64:φ160x4;L=358 2 33V087866-67/75 单发 x279

36 2-11 33V0878-2-(11) 管子 64:φ160x4;L=545 2 33V087868-69/75 单发 x279

37 1-30-6 33V0878-1-30-0 吊杆 2 33V087870-71/75 捆扎 25

38 1-31-6 33V0878-1-31-0 吊杆 1 33V087872/75 捆扎 2289

39 1-19-2 33V0878-1-19-(2) 横杠 16a;L=28 米 1 33V087873/75 捆扎 2289

40 1-38 33V0878-1-38 横杠 25a;L=30 米 1 33V087874/75 捆扎 25

41 1-39 33V0878-1-39 横杠 12;L=30 米 1 33V087875/75 捆扎 2289

2-12-1 33V0878-2-12-(1) 槽钢 10;L=7 米 2 33V087876/75 捆扎 10



65dee1be308e090a87214df355114b6f

销售货物或者提供应税劳务、服务清单

购买方名称:

销售方名称:

所开增值税专用发票代码:4200221130 号码:10224184 共 3 页 第 1 页

序号 货物(劳 务) 名称 规格型号 单位 数量 单价 金额 按半 所得 税额 合计 小计 总计 备注

1 塑料制品电熔 90 度弯头 110 个 315 35.17699115 1196.02 155.43 155.43 2 塑料制品电熔 90 度弯头 140 个 10 53.09734513 530.97 69.03 69.03 3 塑料制品电熔 90 度弯头 200 个 72.07964601 1441.59 187.41 187.41 4 塑料制品电熔 90 度弯头 100 个 113.0424779 4601.77 598.23 598.23 5 塑料制品电熔 90 度弯头 250 个 213.27433628 2132.74 277.25 277.25 6 塑料制品电熔 90 度弯头 315/200 个 310.79646019 23855.75 3101.25 3101.25 7 塑料制品电熔 90 度弯头 50 个 7.3451327434 36.73 4.77 4.77 8 塑料制品电熔 90 度弯头 63 个 9.8938055097 19.47 2.64 2.64 9 塑料制品电熔 90 度弯头 75 个 16.123893803 483.72 62.88 62.88 10 塑料制品电熔 90 度弯头 90 个 24.185840708 725.58 94.32 94.32 11 塑料制品电熔法兰 + 盘片 110 会 166.90265487 186.76 24.28 24.28 12 塑料制品电熔法兰 + 盘片 200/L.0 会 268.11504424 2264.99 294.45 294.45 13 塑料制品电熔法兰 + 盘片 250/1.0 会 120.48672566 240.97 31.33 31.33 14 塑料制品电熔法兰 + 盘片 315/1.6 会 200.19469027 1006.84 132.21 132.21 15 塑料制品电熔法兰 + 盘片 315/2.0 会 298.2300884 596.46 77.54 77.54 16 塑料制品电熔法兰 + 盘片 75 会 32.185840708 514.97 66.45 66.45 17 塑料制品电熔法兰 + 盘片 90 会 95.46101768 1016.99 132.21 132.21 18 塑料制品电熔异径三通 160/63 个 100.89380551 403.58 52.46 52.46 19 塑料制品电熔异径三通 250/110 个 213.27433628 2132.74 277.25 277.25 20 塑料制品电熔异径三通 250/140 个 92.85840708 185.72 24.14 24.14 21 塑料制品电熔异径三通 315/200 个 7652.18 994.78 994.78 22 塑料制品电熔异径二通 250/110 个 34 258.00 8772.00 1140.36 1140.36 23 塑料制品电熔异径二通 315/200 个 516.50973451 39116.74 5278.33 5278.33 24 塑料制品电熔异径强弯 75/50 个 28.39380551 56.78 7.38 7.38 25 塑料制品*电熔异径强弯 110/75 个 29.09734513 29.47 3.97 3.97



3aff2e02e2e78aaebf9177de4ccc5ae2

项目经理部驻地建设检查表

施工单位:安徽省有限责任公司 合同段:CT-02

序号 检查项目 检查内容 施工单位 驻地办 总监办 项目办审批情况 1 机构设置 项目经理部设置相应的职能部门。 满足要求 已审核 符合要求 2 驻地建设 选址要求:1. 进场前组织相关人员进行实地调查,确定项目经理部选址、拌合场建设方案报总监办审查,项目审批;2. 选址首先考虑地质条件好、不受自然灾害的地方,要靠近现场、方便管理,同时应确保有便利的交通条件和三通(通水、供电、通信)条件;3. 房屋宜永临结合,采用砖混结构或彩钢活动板房,以保证其坚固、安全、耐用,满足工作要求。 满足要求 已审核 符合要求 3 办公条件满足办公规范化、信息化的要求,具备网络通讯条件,宽带原则上在 10M 以上 生活饮用水符合生活饮用水卫生标准 生活、生产污水排放符合要求,生活、生产垃圾有专人处理 消防设施、消防器材的设置及管理符合要求,每 40m²设置一个灭火器,悬挂于门口外墙 项目经理部区域绿化(绿化面积不低于项目部驻地占地的 10%)符合要求 满足要求 已审核 符合要求



e288f0dd9ed71045d21afe9ac1dc5400

范围:全国国有企业

一、盈利能力状况 净资产收益率(%) 优值 良值 平均值 较低值 较差值 7.9 6.0 4.1 0.8 -9.3 总资产报酬率(%) 9.0 7.5 4.6 2.2 -4.5 销售(营业)利润率(%) 17.2 11.1 6.3 -1.0 -8.2 盈余现金保障倍数 6.8 3.3 1.5 -1.8 -3.2 成本费用利润率(%) 13.5 9.9 6.1 2.1 -5.3 资产收益率(%) 12.7 9.5 6.8 2.1 -5.3

二、质量质量状况 总负债周转率(次) 1.4 1.2 0.8 0.4 0.2 应收账款周转率(次) 20.4 14.1 8.9 4.2 2.9 流动资产周转率(次) 2.1 1.2 0.8 0.4 0.3 资产周转率(次) 1.0 0.7 0.4 0.3 0.1 不良资产比率(%) 0.2 0.8 0.4 0.2 0.0 资产现金回收率(%) 16.9 10.1 3.0 -2.1 -8.3

三、债务风险状况 资产负债率(%) 48.7 53.7 63.7 73.7 88.7 已获利息倍数 141.8 105.1 81.9 64.5 43.6 现金流动负债比率(%) 23.0 16.2 6.7 -70.0 -13.6 带息负债比率(%) 0.2 0.3 0.8 0.4 0.3 或有负债比率(%) 22.7 31.7 47.1 68.0 80.3

四、经营增长状况 销售(营业)增长率(%) 28.7 21.9 16.6 4.2 -7.6 经营成本增长率(%) 35.2 26.8 16.7 8.4 -4.4 销售(营业)利润增长率(%) 31.1 24.0 18.9 5.4 -3.7 总资产增长率(%) 17.7 14.2 8.9 -4.8 -13.6 研发投入强度(%) 3.6 2.6 2.1 1.8 0.8

五、补充资料 存货周转次数 16.2 8.0 3.8 0.4 0.2 两金占流动资产比重(%) 8.3 23.4 36.7 46.0 56.6 成本费用总额占总收入比重(%) 88.7 91.8 94.9 97.5 100.4 经济增加值率(%) 6.7 2.9 -2.0 -3.2 -11.2 EBITDA 率(%) 25.8 15.4 8.2 1.3 -1.7 资本积累率(%) 22.3 13.4 7.9 0.1 -2.6



534988d788fefc816bcb4bd5b9652516

第 35 章 近似算法

659

定义 35.4 GREEDY-SET-COVER 是一个多项式时间运行的 $\rho(n)$ 近似算法,其中:

\[\rho(n)=H(\max|S|:S\in F)\]

5be9bf60638cbf92fbfed32d6650721e

第十二章 竞争力

普锐斯采用一种独特的设计流程至少已有 10 年。这种设计策略与其他全丰田在东京、加利福尼亚和欧洲的三大设计中心在设计每一个新模款的时候都会相形见拙。这种方式让大部分顶级设计中心在设计每一个新的畅销车型时都处于自危的局面 —— 在一个最畅销的混合动力车普锐斯的设计开始。

1995 年,首席工程师内山武史(Takeshi Uchiyamada)对于普锐斯产品模型的设计方案并不那么满意。它们都配不上设计师们提交给他的总督高级设计小组设计并在那年的东京汽车展览会上展出的那些概念车的概念,亦即引领 21 世纪。但是从丑小鸭变成白天鹅,不是太像丰田花冠,就是太像概念设计方案不是太过怪异,就是不太像丰田。这些设计都没有抓住保守与新时代的精神精髓。

丰田字典里没有妥协。内山武史承诺会要求所有部门之间组织一次竞争。他解除了联系,要求在所有部门之间组织一次竞争。参与的竞争团队取得总督高级设计小组、丰田设计部、汽车开发Ⅱ部、丰田自动织机工厂设计部、丰田加州的 Calty 设计中心,以及丰田设计小组、样室。这 7 支队伍都要拿出各自的设计方案。

内山武史甚至还敦促丰田董事会同意意大利 Carrozzeria 这样的外部设计工作室参与进来,但是出于保密的考虑,这个提议被否决了。尽管最初非常失望,丰田的设计团队更加自信。因此我们用自己人完成一个艰巨的设计任务绝对是一件好事。”竞争见证了广度的创造力被激发出来。最初的决定集中在划定一个范围上。内山武史对这些设计都是典型的欧洲风格 —— 两厢车(乘客,引擎,无后备箱);日本的设计



e155aa2d1e8922702045382ada6c9e38

第八章 捕捉无形价值

艺术的本质?第一,它必须是不可把握的,第二,它是不可模仿的。 —— 雷诺阿(Renoir)

最有力的解决方案往往是感性的、富有感情的。问题在于:解决方案缺少点睛之笔。“我不知道是什么” —— 缺少的就是这说不清道不明的什么。使领袖人物成为领袖的正是这种无法界定、难以描述的东西。我们的产品和服务平淡无奇,解决方案不是太人云亦云就是功败垂成近利。我们疑惑为什么我们的竞争对手会大大领先 —— 他们卖的东西和我们卖的并没有本质的不同。

原因在于:交易的目光太过短浅。我们过分关注那些有形的交换物,过分关注我们解决方案的特点和竞争优势,被结果遮蔽了双眼,忽略了其中的体验和过程,因此也就忽视了顾客真正需要的东西 —— 很明显,他们真正需要的并非某个产品或某种服务。

解决方案:捕捉无形的价值。让某种产品脱颖而出的正是那些无形的东西。它们远远超越了交易、产品、服务和流程的层面。如果你能捕捉到那些人们正在乎的东西,你就找到了有力的价值元素。雷克萨斯卖的不仅仅是豪华车,而是一个安全的庇护所,一个安静的世外桃源。迪斯尼不是在运营一个主题公园,而是在出售魔法和幻梦。星巴克卖的也不仅仅是咖啡,而是为人



0b8b4f95682d188d1089dfdf65277846

5.5 性能监视

性能监视对于软件调优(tuning)和软件调试都有着重要的意义,为了更好地满足性能监视任务的需求,IA 处理器从奔腾开始就提供了性能监视机制,包括专门的计数器、寄存器、CPU 管脚等中断支持等。

需要指出的是,虽然从奔腾 CPU 开始的所有 IA 处理器都包含了性能监视支持,但是直到 Core Solo 和 Core Duo 处理器公布时,才将一部分性能监视器都包含了性能监视支持,但是直到 Core Solo 和 Core Duo 处理器公布时,才将一部分性能监视器都包含了性能监视支持,但是直到 Core Solo 和 Core Duo 处理器公布时,才将一部分性能监视器都包含了性能监视支持,但是直到 Core Solo 和 Core Duo 处理器公布时,才将一部分性能监视器都包含了性能监视支持,但是直到 Core Solo 和 Core Duo 处理器公布时,才将一部分性能监视器都包含了性能监视支持,但是直到 Core Solo 和 Core Duo 处理器公布时,才将一部分性能监视器都包含了性能监视支持,但是直到 Core Solo 和 Core Duo 处理器公布时,才将一部分性能监视器都包含了性能监视支持,但是直到 Core Solo 和 Core Duo 处理器公布时,才将一部分性能监视器都包含了性能监视支持,但是直到 Core Solo 和 Core Duo 处理器公布时,才将一部分性能监视器都包含了性能监视支持,但是直到 Core Solo 和 Core Duo 处理器公布时,才将一部分性能监视器都包含了性能监视支持,但是直到 Core Solo 和 Core Duo 处理器公布时,才将一部分性能监视器都包含了性能监视支持,但是直到 Core Solo 和 Core Duo 处理器公布时,才将一部分性能监视器都包含了性能监视支持,但是直到 Core Solo 和 Core Duo 处理器公布时,才将一部分性能监视器都包含了性能监视支持,但是直到 Core Solo 和 Core Duo 处理器公布时,才将一部分性能监视器都包含了性能监视支持,但是直到 Core Solo 和 Core Duo 处理器公布时,才将一部分性能监视器都包含了性能监视支持,但是直到 Core Solo 和 Core Duo 处理器公布时,才将一部分性能监视器都包含了性能监视支持,但是直到 Core Solo 和 Core Duo 处理器公布时,才将一部分性能监视器都包含了性能监视支持,但是直到 Core Solo 和 Core Duo 处理器公布时,才将一部分性能监视器都包含了性能监视支持,但是直到 Core Solo 和 Core Duo 处理器公布时,才将一部分性能监视器都包含了性能监视支持,但是直到 Core Solo 和 Core Duo 处理器公布时,才将一部分性能监视器都包含了性能监视支持,但是直到 Core Solo 和 Core Duo 处理器公布时,才将一部分性能监视器都包含了性能监视支持,但是直到 Core Solo 和 Core Duo 处理器公布时,才将一部分性能监视器都包含了性能监视支持,但是直到 Core Solo 和 Core Duo 处理器公布时,才将一部分性能监视器都包含了性能监视支持,但是直到 Core Solo 和 Core Duo 处理器公布时,才将一部分性能监视器都包含了性能监视支持,但是直到 Core Solo 和 Core Duo 处理器公布时,才将一部分性能监视器都包含了性能监视支持,但是直到 Core Solo 和 Core Duo 处理器公布时,才将一部分性能监视器都包含了性能监视支持,但是直到 Core Solo 和 Core Duo 处理器公布时,才将一部分性能监视器都包含了性能监视支持,但是直到 Core Solo 和 Core Duo 处理器公布时,才将一部分性能监视器都包含了性能监视支持,但是直到 Core Solo 和 Core Duo 处理器公布时,才将一部分性能监视器都包含了性能监视支持,但是直到 Core Solo 和 Core Duo 处理器公布时,才将一部分性能监视器都包含了性能监视支持,但是直到 Core Solo 和 Core Duo 处理器公布时,才将一部分性能监视器都包含了性能监视支持,但是直到 Core Solo 和 Core Duo 处理器公布时,才将一部分性能监视器都包含了性能监视支持,但是直到 Core Solo 和 Core Duo 处理器公布时,才将一部分性能监视器都包含了性能监视支持,但是直到 Core Solo 和 Core Duo 处理器公布时,才将一部分性能监视器都包含了性能监视支持,但是直到 Core Solo 和 Core Duo 处理器公布时,才将一部分性能监视器都包含了性能监视支持,但是直到 Core Solo 和 Core Duo 处理器公布时,才将一部分性能监视器都包含了性能监视支持,但是直到 Core Solo 和 Core Duo 处理器公布时,才将一部分性能监视器都包含了性能监视支持,但是直到 Core Solo 和 Core Duo 处理器公布时,才将一部分性能监视器都包含了性能监视支持,但是直到 Core Solo 和 Core Duo 处理器公布时,才将一部分性能监视器都包含了性能监视支持,但是直到 Core Solo 和 Core Duo 处理器公布时,才将一部分性能监视器都包含了性能监视支持,但是直到 Core Solo 和 Core Duo 处理器公布时,才将一部分性能监视器都包含了性能监视支持,但是直到 Core Solo 和 Core Duo 处理器公布时,才将一部分性能监视器都包含了性能监视支持,但是直到 Core Solo 和 Core Duo 处理器公布时,才将一部分性能监视器都包含了性能监视支持,但是直到 Core Solo 和 Core Duo 处理器公布时,才将一部分性能监视器都包含了性能监视支持,但是直到 Core Solo 和 Core Duo 处理器公布时,才将一部分性能监视器都包含了性能监视支持,但是直到 Core Solo 和 Core Duo 处理器公布时,才将一部分性能监视器都包含了性能监视支持,但是直到 Core Solo 和 Core Duo 处理器公布时,才将一部分性能监视器都包含了性能监视支持,但是直到 Core Solo 和 Core Duo 处理器公布时,才将一部分性能监视器都包含了性能监视支持,但是直到 Core Solo 和 Core Duo 处理器公布时,才将一部分性能监视器都包含了性能监视支持,但是直到 Core Solo 和 Core Duo 处理器公布时,才将一部分性能监视器都包含了性能监视支持,但是直到 Core Solo 和 Core Duo 处理器公布时,才将一部分性能监视器都包含了性能监视支持,但是直到 Core Solo 和 Core Duo 处理器公布时,才将一部分性能监视器都包含了性能监视支持,但是直到 Core Solo 和 Core Duo 处理器公布时,才将一部分性能监视器都包含了性能监视支持,但是直到 Core Solo 和 Core Duo 处理器公布时,才将一部分性能监视器都包含了性能监视支持,但是直到 Core Solo



74fa9e6fc5c5debdeeb9b069783fedb3

房产只要持有就能升值,从经济原则看,这未免可笑。种种背离原则的行为大行其道,被认为理所当然。但是泡沫终究破灭,望增值的资产转眼间变为负资产,不少企业落下一身债务。

你是事后诸葛亮,泡沫破裂后才说风凉话 —— 有人或许这么说。然而,只要你懂得原理原则,只要你持有正确的哲学,不管出现什么潮流,你都能做出正确判断。

当时,京瓷靠多年辛苦积累,已拥有巨额现金存款。许多旁人劝我投资不动产。其中还有银行的人,他们见我“不许动”,还恳切地教我如何赚钱的奥秘。

但我认为,就算来钱,那也是不义之财,来得容易去得快。因为我这么想,所以有关投资的建议一概回绝。

“只有额头流汗,靠自己努力赚来的钱才是真正的利益润” —— 我的信念就这么单纯。这来自做人的正确的原理原则,所以,在巨额暴利的引诱面前,我能告诫自己“不起贪念”。我内心从未有过丝毫动摇。

由此可见,即使蒙受损失也必须遵循的哲学,明知吃苦也甘愿承受的觉悟 —— 自己心中有没有这种哲学和觉悟,这就是事业成功与否、人生幸福与否的分水岭。

“不是因为能够承担重要工作,才有资格向公司要求什么。而是因为你有资格向公司要求什么,所以才能承担重要的工作。”

“不是因为勤奋努力而获得成果,而是因为有了成果,才被允许继续勤奋努力。”



33d1b52bad02e9c5a05c0ebadadb4a4b

能够单独区分的组成部分:

(1) 该组成功分代表一项独立的主要业务或一个主要经营地区;

(2) 该组成部分是拟对一项独立的主要业务或一个主要经营地区进行处置计划的一部分;

(3) 该组成部分仅仅是出于再出售而取得的子公司。

关联方

一方控制、共同控制另一方或对另一方施加重大影响,两方或两方以上同受一控制方控制的构成关联方。关联方既包括个人也包括法人。仅仅因国家控制而不存在其他关联方关系的企业不属于关联方。本公司的关联方包括但不限于:

(1) 本公司的母公司;

(2) 本公司的子公司;

(3) 与本公司受同一控制的企业;

(4) 对本公司实施共同控制的投资方;

(5) 对本实施重大影响的投资方;

(6) 本公司的合营企业,包括合营企业的子公司;

(7) 本公司的联营企业,包括联营企业的子公司;

(8) 本公司主要投资者个人及其关系密切的家庭成员;

(9) 本公司或其母公司的关键管理人员及与其关系密切的家庭成员;

(10) 本公司的主要投资个人、关键管理人员或与其关系密切的家庭成员控制、共同控制的其他企业。

  1. 主要会计政策、会计估计的变化及会计差错更正

财政部于年度发布了《企业会计准则第号持有待售的非流动资产、处置组和终止经营》,自年月日起施行,对于日存在的持有待售的非流动资产、处置组和终止经营,要求采用未来适用法处理。财政部于年度发布了《财政部关于修订印发一般企业财务报表格式的通知》,对企业财务报表格式进行了修订,适用于年度及以后期间的财务报表。

公司本报告期末发生其他会计政策、会计估计变化及会计差误更正事项。

四、税项

()增值税:按应税销售收入的计缴。

()城市维护建设税:按应交流转税额的计缴。

()教育费附加:按应交流转税额的计缴。

()地方教育附加:按应交流转税额的计缴。

()所得税:按税率计缴。

五、会计报表主要项目的注释



5ef02672272881bc7619f4c01cefc492

(二)配偶取得上海市常住户口满 3 年的 ;

(三)配偶取得天津市、重庆市和省(自治区首府)城市、副省级城市常住户口满 2 年的 ;

(四)配偶取得其他城市常住户口的。

第十八条 父母身边无子女或者配偶为独生子女的军队转业干部,可以到其父母或者配偶父母常住户口所在地安置。未婚的军队转业干部可以到其父母常住户口所在地安置。

父母双方或者一方为军人且长期在边远艰苦地区工作的军队转业干部,可以到父毋原籍、入伍或者父母高退休地安置。

第十九条 军队转业千部具备下列条件之一的,可以到配偶常住户口所在地安置,也可以到其父母或者配偶父母、本人子女常住户口所在地安置 :

(一)自主择业的 ;

(二)在边远营地区或者从事飞行、舰艇工作满 10 年

(三)战时获三等功、平时获二等功以上奖励的 ;

(四)因战因公致残的。

第二十条 夫妻同为军队干部且同时转业的,可以到



eed7a1a8cd7857f8e934363cc2f224ea
  1. 过渡态理论 (Transition State Theory, TST) 绝对反应速率理论 (absolute rate theory, ART); 活化络合物理论 (activated complex theory)

化学反应经过一个中间的过渡态,即反应物分子在互相接近的过程中先被活化而形成活化络合物。络合物极步稳定,可以变回原来的反应物,也可以分解为产物。

形成活化络合物为快步骤,活化络合物分解为慢步骤 :

\[A + B \rightleftharpoons [A\cdots B]^{\neq} \rightarrow P\]

反应物与活化络合物形成热力学平衡

\[K^{\neq} = \frac{C^{\neq}}{C_A C_B}\]

反应物速率

\[r = vC^{\neq} = \frac{k_B T}{h} K^{\neq} C_A C_B\]

反应速率常数 k

\[k = \frac{k_B T}{h} K^{\neq}e^{-\frac{\Delta G^{\neq}}{RT}} = k_B T e^{-\frac{\Delta S^{\neq}}{RT}} e^{-\frac{\Delta H^{\neq}}{RT}}\]

多相催化中,中间络合物就是吸附中间态。



793d074fa85948b0ab5166fe78be491f

2、转换数或转换频率(turnover number or turnover frequency, TOF):单位时间内每个活性中心引发的总包反应的次数。

§3.1.2 速率方程与动力学参数 表示反应速率与作用物(包括反应物、产物及添加物)的分压(或浓度)关系。

微分速率方程:r = f(P_1,P_2,…,P',P'',…)

常见形式:

\[r = kP_A^{\alpha} P_B^{\beta}\cdots \quad 盾式速率方程\] \[k:\text{速率常数};\quad \alpha,\beta\cdots:\text{反应级数}\] \[r = \frac{k\lambda_i P_i}{1+\lambda_1 P_1 + \lambda_2 P_2 + \cdots} \quad 双曲线式速率方程\] \[k:\text{速率常数};\quad \lambda_i:\text{常数}\]

0d1ffb3c52dd5fe53b25faab7eeb3d0b

语文三年级上册

\[\begin{aligned} & \text{ 积累运用 } \\ & \textbf{1. 拼写正确,写的漂亮 } \\ & \text{jiǎo cuò yán shí fēng jǐng yǒu měi} \\ & \text{dà guā shù bù qīng wěi} \\ & \text{xī shǎo qún dào hǎi xīn zhōng yǒu gǔ} \\ & \text{bǎo guì de shí zǐ yǒu qí xiāng} \\ & \text{yǒu qí xiāng} \\ & \text{5. 课内外阅读 } \\ & \text{(3) 西 } \\ & \text{ 南三岛的风光很美,那里的海里一半是水,一半是鱼。} \\ & \text{ 正像人们说的那样,西沙群岛的海里 } \\ & \text{ 鱼非常多,多得数不清。} \\ & \text{A. 这句话强调西沙群岛海里的鱼非常 } \\ & \text{ 多,多到鱼和水各占一半的程度。} \\ & \text{B. 这句话强调西沙群岛海里的鱼非常 } \\ & \text{ 多,但并不真是鱼和水各占一半。} \\ & \text{ 这是一种夸张的写法。} \\ & \text{2. 西沙群岛也是鸟的天下。} \\ & \text{A. 说明这里的鸟非常多。} \\ & \text{B. 说明西沙群岛只有鸟类居住,这里 } \\ & \text{ 真的是鸟的天下。} \\ & \text{4. 把动物当成人来写 } \\ & \text{(1)海参到处都是,在海底懒洋洋地爬着。} \\ & \text{(2)庞大的海龟 } \\ & \text{58} \end{aligned}\]

a6facab5ea7f3e21156d4db1fd070cf7

关于推进 2023 年浦东新区残疾人家庭无障碍改造工作提示

各镇街残联:

2023 年初,市残联提出即将出台无障碍家改新政策。同时新建统一的操作平台,故我区残疾人家庭改工作处于暂停状态,但市残联至今未下文通知,而我区重大办要求在 9 月底前完成市区两级为民办实事项目 1400 户困难重度残疾人无障碍家改任务指标。为尽快落实市政府、区政府为民办实事项目进度,经区残联党组、理事会研究决定,继续推进 2023 年浦东新区残疾人家庭无障碍改造工作,现将推进工作提示如下:

一、十四五期间,市残联要求我区完成 4500 户困难重度残疾人无障碍家改任务指标,2023 年,完成 1400 户。

二、十四五期间残疾人家庭无障碍改造工作的政策依据及相关要求:

(一)市残联(2015)24 号和(2016)29 号文件继续执行,改造对象、改造项目、改造经费、工作要求和操作流程不变。(二)根据《关于“十四五”期间推进本市困难重度残疾人家庭无障碍改造工作的通知》精神(会签稿),具体操作口令:

$ 改造对象 $: 申请人须同时符合以下条件:

  1. 本市户籍;
  2. 持有本市核发有效《中华人民共和国残疾证 );
  3. 民政部门认定城乡低保家庭、支出型贫困家庭、低收入家庭。


1ef93748fb9075b0d1a3dfe872ea9e6c

翼邦生物科技管道视频检测报告

第 7 页共 24 页

  1. 管段信息

主要工程量表

编号 名称 管道 管材 管径 (mm) 数量 检测方式 备注
1 Y1 Y2 雨水 波纹管 DN400 42 CCTV 结构性缺陷变形
2 Y2 Y3 雨水 波纹管 DN400 25 CCTV 结构性缺陷变形
3 Y3 Y4 雨水 波纹管 DN400 43 CCTV 管道畅通,无缺陷
4 Y4 Y5 雨水 波纹管 DN300 15 CCTV 管道畅通,无缺陷
5 Y5 Y6 雨水 波纹管 DN300 20 CCTV 管道畅通,无缺陷
6 Y6 Y7 雨水 波纹管 DN300 30 CCTV 管道畅通,无缺陷
7 Y7 Y8 雨水 波纹管 DN300 45 CCTV 管道畅通,无缺陷
8 Y4 Y10 雨水 波纹管 DN300 22 CCTV 结构性缺陷变形
9 Y9 Y10 雨水 波纹管 DN500 30 CCTV 管道畅通,无缺陷
10 Y10 Y11 雨水 波纹管 DN300 30 CCTV 管道畅通,无缺陷
11 Y11 Y12 雨水 波纹管 DN300 25 CCTV 管道畅通,无缺陷
12 Y12 Y13 雨水 波纹管 DN300 20 CCTV 管道畅通,无缺陷
13 Y13 Y14 雨水 波纹管 DN300 30 CCTV 管道畅通,无缺陷
14 Y14 Y15 雨水 波纹管 DN300 35 CCTV 管道畅通,无缺陷
15 Y17 Y18 雨水 波纹管 DN300 45 CCTV 管道畅通,无缺陷
16 Y10 Y20 雨水 波纹管 DN300 26 CCTV 管道畅通,无缺陷
17 Y1 Y22 雨水 波纹管 DN400 43 CCTV 结构性缺陷变形
18 Y22 Y23 雨水 波纹管 DN400 28 CCTV 管道畅通,无缺陷
19 Y23 Y24 雨水 波纹管 DN300 15 CCTV 管道畅通,无缺陷
20 Y24 Y25 雨水 波纹管 DN300 60 CCTV 管道畅通,无缺陷
21 Y25 Y26 雨水 波纹管 DN300 15 CCTV 管道畅通,无缺陷


0e7187e86b5f2746e694a38e28241d12

尊敬的各位领导:

您好!

我是一名来自内蒙古兴安盟扎赉特旗巴达尔胡镇的学生,就读于内蒙古大学朔州星学院中文系汉语言文学一班。家中有父母二人,母亲患有心脏病,家中仅有父亲一人劳动,且家中无田地,无羊群,再加上我今年上大学,父母更是有力无处使。

因此我特此申请此助学金,还望各位领导批准。

此致,

敬礼。

申请人:王坤

2018 年 8 月 23 日



43a57753bc2a3a64b6fe8a30b839dbbf

浦城翊霍,辛亥岁首书于茅茨。



f29708272ab51dbc40232e5f273ed6b7

尼采《查拉图斯特拉如是说》 一种即使想象亦是令人寒而栗的不幸,一旦降临于实际的生活,从发生至克服它的期间,我们的会惧气并未有任何改观,反而,获得长期所切切等待的幸福后,不会感到有何特别的愉快惬意。一种深刻悲悼或强烈扣人心弦的兴奋,只有来自刚产生变化的那一瞬间。 板辛华《损辛华陵< 生得失》



663b34e86f2bab01d42eeb794ace5f19

湖北省监利县木材公司

今收到

医孝昌县交来河洲及大手银行贷款现金拾伍万肆仟伍佰元整

¥154,500.00

967.5.24 高路生



f05bbb174435ac726093f3120914b178

本週末很忙,我的爸爸和我的朋友都是走 ? 言我朋友的爸是本杰明我心中的無數次開心只是吧輔喜羅歡那他會開玩笑我寫這多很囉嗦為我室友是很強我有時好奇動漫日本文化很多奇怪



be28cc5e4e1893fc168c9a23cb5710c0

2019-2020 学年春季学期,《高等数学 CII》

姓名:_____ 学号:___ 助教:_____

诚信考试承诺书

本人郑重承诺:

我已阅读且透彻理解了“上海海洋大学学生考场规则”和“上海海洋大学学生违反校规校纪处分规定”,承诺在考试期间自觉遵守,如有违反,自愿接受相应处罚。

承诺人签名:_____ 日期:_____

以上多答至此内容。



ffc6bd3b9a49fcd22be27bea39988057

斯托克斯公式 —— 曲线积分与曲面积分的关系:

\[\iint_{\Sigma}(\frac{\partial R}{\partial y}-\frac{\partial Q}{\partial z})dydz+(\frac{\partial P}{\partial z}-\frac{\partial R}{\partial x})dzdx+(\frac{\partial Q}{\partial x}-\frac{\partial P}{\partial y})dxdy=\oint_{\Gamma}Pdx+Qdy+Rdz\]

上式左端又可写成 :

\[\left|\begin{array}{ccc} \frac{\partial }{\partial x} & \frac{\partial }{\partial y} & \frac{\partial }{\partial z}\\ P & Q & R\\ \cos\alpha & \cos\beta & \cos\gamma \end{array}\right|\]

空间曲线积分与路径无关的条件 : $\frac{\partial R}{\partial y}=\frac{\partial Q}{\partial z},\frac{\partial P}{\partial z}=\frac{\partial R}{\partial x},\frac{\partial Q}{\partial x}=\frac{\partial P}{\partial y}$

旋度 :

$rotA=\left|\begin{array}{lll} i & j & k
\frac{\partial }{\partial x} & \frac{\partial }{\partial y} & \frac{\partial }{\partial z}
P & Q & R \end{array}\right|$

向量场 $\vec A$ 沿着有向闭曲线 $\Gamma$ 的环流量 :

\[\oint_{\Gamma}Pdx+Qdy+Rdz=\oint_{\Gamma}\vec Ad\vec s\]

e7991eb4a7970853ce79e0a7e39dab94
  1. 基本积分公式

(1) $\int x^{k} dx = \frac{x^{k+1}}{k+1} + C$ (k ≠ -1, 因为分母不能为 0)

(2) $\int a^x dx = \frac{a^x}{\ln a} + C$

(3) $\int e^x dx = e^x + C$

(4) $\int \frac{1}{x} dx = \ln x + C$

(5) $\int \sin x dx = -\cos x + C$ $\int \cos x dx = \sin x + C$

(6) $\int \frac{1}{\sin x} dx = \int csc x dx = \ln \csc x - cot x + C$
$\int \frac{1}{\cos x} dx = \int sec x dx = \ln sec x + tan x + C$

(7) $\int \frac{1}{\sin^2 x} dx = \int csc^2 x dx = -cot x + C$

$\int \frac{1}{\cos^2 x} dx = \int sec^2 x dx = tan x + C$

(8) $\int tan x dx = -\ln \cos x + C$ $\int cot x dx = \ln \sin x + C$

(9) $\int sec x tan x dx = sec x + C$ $\int csc x cot x dx = -csc x + C$

(10) $\int \frac{1}{a^2+x^2} dx = \frac{1}{a} arctan \frac{x}{a} + C$

$\int \frac{1}{1+x^2} dx = arctan x + C$

(11) $\int \frac{1}{a \sqrt{a^2-x^2}} dx = \frac{1}{a} arcsin \frac{x}{a} + C$

$\int \frac{1}{\sqrt{1-x^2}} dx = arcsin x + C$

(12) $\int \frac{1}{a^2-x^2} dx = \frac{1}{2a} a+x + C$
$\int \frac{1}{\sqrt{x^2 \pm a^2}} dx = ln x+\sqrt{x^2 \pm a^2} + C$
  1. 变限积分求导公式

若 $f(x)$ 在 $[a,b]$ 上连续,$\phi(x)$ 和 $\psi(x)$ 在 $[a,b]$ 上可导,则

\[\left(\int_{\phi(x)}^{\psi(x)} f(t) dt\right)'_x = f[\phi(x)]\phi'(x)-f[\psi(x)]\psi'(x)\]

4af11f4a53a74a1384d59c53b6cedef3
  1. 矩形阀门宽 (a) 米,高 (h) 米,垂直放在水中,上沿与水面齐平,则该阀门所受到的水压力 (P=)() A.(\int_{0}^{a}pxdx) B.(\int_{0}^{h}pgxhx) C.(\frac{1}{2}\int_{0}^{h}pgxhx) D.(\int_{0}^{2}pgxhx)

  2. 设 (f(x)=kx^7+1,) 且 (\lim_{x \to 0} f(x)=\frac{1}{3}), 则 (k=( )) A. (0) B. (-\frac{1}{3}) C. (\frac{1}{3}) D. (\frac{1}{6})

  3. 设 (f'(0)=2), 则当 (x \rightarrow 0) 时 ,(f(x)-f(0)) 是 (x) 的() 无穷小 A. 低阶 B. 同阶但非等价 C. 高阶 D. 等价

  4. 若 (f(x)=x^2,\phi(x)=\int_{0}^{x}f(t)dt), 则 (\phi'(x)=( )) A.(x^2) B.(2x) C.(x^4) D.(2s)

  5. 反常积分 (\int_{1}^{\infty}\frac{1}{x^p}dx), 下列结论成立的是() A.(p>1) 收敛 ,(p≤1) 时发散 B.(p≥1) 收敛 ,(p<1) 发散 C.(p≤1) 时收敛 ,(p>1) 发散 D.(p<1) 时收敛 ,(p≥1) 发散

12.(\lim_{x \to 0}\frac{\sin x}{x}=( )) A.(0) B.(\infty) C.(1) D. 不存在

  1. 函数 (f(x)=ln(a-x)(a>0)) 是() A. 奇函数 B. 偶函数 C. 非奇非偶函数 D. 奇偶性由 (a) 决定

  2. 设 (f) 在 (x_0) 处可导,则 (\lim_{h \to 0}\frac{f(h)-f(-h)}{h}=( )) A.(-f'(0)) B.(f'(0)) C.(4f'(0)) D.(2f'(0))



d820196b22fee1ff33dda462cd83c621

第一章 函数、极值与连续

(3) y = -2^x;

8 下列函数哪些为初等函数:

(1) y = (x^2-1)/(x-1);

(2) y = {x^2-4}/(x-2); x≠2

0, x=2

(3) y = [sin(e^x-1)]^2/[(lg(1+x^2))];

9 设 f(x)=x+3, 求一个函数 g(x), 使 f[g(x)]=$\sqrt{5x+1}$.

10 设 f(x)={x, 0<x<2; $\sqrt{1+x^2}$, 2<x<4,

f(g(x))

11 求下列极限:

$\lim_{x \to 0} \frac{\sqrt{1+tan x}-\sqrt{1-tan x}}{\sin x}$

(2) $\lim (\sin \sqrt{x}+1-\sin \sqrt{x})$

(3) $\lim \frac{1+\cos^3x}{\sin^2x}$



53d97acbbc6c1de5a9c63fe2b2366021

柱坐标和球坐标:

\[x=r\cos{\theta}\] \[y=r\sin{\theta}\] \[z=z\]

其中:$F(r,\theta,z)=f(r\cos{\theta},r\sin{\theta},z)$

\[x=r\sin{\phi}\cos{\theta}\] \[y=r\sin{\phi}\sin{\theta}\] \[z=r\cos{\phi}\]

体积元:

\[dv=rd\phi r\sin{\phi}d\theta dr=r^2\sin{\phi}drd\phi d\theta\]

三重积分:

\[\iiint_{\Omega}f(x,y,z)dxdydz=\iiint_{\Omega}F(r,\phi,\theta)r^2\sin{\phi}drd\phi d\theta=\iint_{S}\int_0^{r(\phi,\theta)}F(r,\phi,\theta)r^2\sin{\phi}drd\phi d\theta\]

重心:

\[\bar{x}=\frac{1}{M}\iint_{S}\rho xdv, \quad \bar{y}=\frac{1}{M}\iint_{S}\rho ydv, \quad \bar{z}=\frac{1}{M}\iint_{S}\rho zdv, \quad 其中 M=\bar{x}=\iint_{S}\rho dv\]

转动惯量:

\[I_x=\iint_{S}(y^2+z^2)\rho dv, \quad I_y=\iint_{S}(x^2+z^2)\rho dv, \quad I_z=\iint_{S}(x^2+y^2)\rho dv\]

25848aa3d1f012237b326f0255564b5c

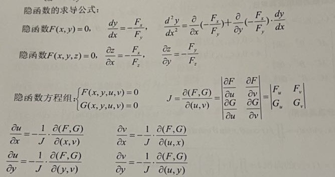
隐函数求导公式:

\[\frac{dy}{dx} = \frac{-F_x}{F_y}\]

二阶导数:

\[\frac{d^2y}{dx^2} = \frac{\partial (-\frac{F_x}{F_y}) + (\frac{\partial F_x}{\partial y}\frac{dy}{dx})}{\partial x}\]

隐函数方程组:

\[F(x,y,u,v) = 0, G(x,y,u,v) = 0\]

雅可比矩阵:

\[J = \begin{vmatrix} \frac{\partial F}{\partial u} & \frac{\partial F}{\partial v}\\ \frac{\partial G}{\partial u} & \frac{\partial G}{\partial v} \end{vmatrix} = \begin{vmatrix} F_u & F_v\\ G_u & G_v \end{vmatrix}\]

解得:

\[\frac{du}{dx} = -\frac{1}{J}\frac{\partial (F,G)}{\partial (u,x)}\] \[\frac{dv}{dx} = -\frac{1}{J}\frac{\partial (F,G)}{\partial (v,x)}\] \[\frac{du}{dy} = -\frac{1}{J}\frac{\partial (F,G)}{\partial (u,y)}\] \[\frac{dv}{dy} = -\frac{1}{J}\frac{\partial (F,G)}{\partial (v,y)}\]

30fd900162aef5f96186ad36cfbb8e6d

表示最长连续正的特征序列长度正好是 $j$ 的事件,开设最长特征序列的长度是 $L$。定义,我们有

\[E[L] = \sum_{j=0}^{n} jPr\{L_j\}\]

868844948833c46189a907bad1e74d00

两边取期望并利用期望的线性性质,我们有

\[E[X]=E\biggl[\sum_{i=1}^{n+k}X_{ik}\biggr]=\sum_{i=1}^{n+k}E[X_{ik}]=\sum_{i=1}^{n+k}Pr\{A_{ik}\}=\sum_{i=1}^{n+k}1/2^k=\frac{n-k+1}{2^k}\]

对于数列期望建立一个随机变量序列 $X_1,X_2,…,X_n$, 其中 $X_i$ 表示第 $i$ 个数是否出现在这个数列中的指示变量。即:

\[X_i = \begin{cases} 1 & \text{if the number } i \text{ appears in the sequence}\\ 0 & \text{otherwise} \end{cases}\]

然后我们可以定义一个新的随机变量 $Y$ 来表示数列中出现的数字的数量:

\[Y = \sum_{i=1}^{n} X_i\]

因此,数列期望可以表示为:

\[E[Y] = E\left[\sum_{i=1}^{n} X_i\right] = \sum_{i=1}^{n} E[X_i] = \sum_{i=1}^{n} Pr\{X_i = 1\}\]

由于每个数字都有可能出现在数列中,所以 $Pr{X_i = 1}$ 的概率为 $\frac{1}{n}$。因此,

\[E[Y] = \sum_{i=1}^{n} \frac{1}{n} = n \cdot \frac{1}{n} = 1\]

9b9497a33932f2bd6a5258a83fc49a0e
  1. 公式

设 N>0,a>0,b>0,a≠1,b≠1,c>0,c≠1,m≠0,

(1) 对数恒等式 :$a^{\log_aN}=N$;

(2) 换底公式 :$\log_ab=\frac{\log_cb}{\log_ca}$;

(3)$\log_ba=\frac{1}{\log_ab}$;

(4)$\log_ab^n=\frac{n}{m}\log_ab$.

三、空间几何体

  1. 侧面积公式

S 圆柱侧 =$2πrl$

S 圆锥侧 =$πl$

S 圆台 =$π(r+r′)l$

  1. 表面积公式

S 圆柱 =$2πr(l+h)$

S 圆锥 =$πr(l+h)$

S 圆台 =$π(r′^2+r^2+r′l+rl)$

S 球 =$4πR^2$

  1. 体积公式

V 棱柱 =$Sh$

V 棱锥 =$\frac{1}{3}Sh$

V 棱台 =$\frac{1}{3}h(S+\sqrt{SS′}+S′)$

V 圆柱 =$πr^2h$

V 圆锥 =$\frac{1}{3}-πr^2h$

V 圆台 =$\frac{1}{3}πh(r^2+rr′+r′^2)$

V 球 =$\frac{4}{3}-πR^3$

四、直线与平面

  1. 空间两直线平行的判定

$(a//b \Rightarrow a//c)$

$(a⊥α \Rightarrow a//b)$



2180d4c437f1d26078e76654478c8c20
\[f(x)=\frac{a_0}{2}+\sum_{n=1}^{n}(a_n \cos nx+b_n \sin nx),周期=2π\]

其中

\[\begin{cases} a_n=\frac{1}{π}\int_{-π}^{π}f(x)\cos nxdx&(n=0,1,2⋯)\\ b_n=\frac{1}{π}\int_{-π}^{π}f(x)\sin nxdx&(n=1,2,3⋯) \end{cases}\] \[\begin{align*} &1+\frac{1}{3^2}+\frac{1}{5^2}+…=\frac{8}{π^2}&( 相加 )\\ &1+\frac{1}{2^2}+\frac{1}{3^2}+\frac{1}{4^2}+…=\frac{6}{π^2}&( 相减 )\\ &1-\frac{1}{2^2}+\frac{1}{3^2}-\frac{1}{4^2}+…=\frac{12}{π^2}&( 相减) \end{align*}\] \[2π∫_{-π}^{π}f(x)\sin nxdx,n=1,2,3…\]

09bee0af90e6d82a61271d1c92a48bf0

2. 转换数或转换频率(turnover number or turnover frequency, TOF):单位时间内每个活性中心引发的总包反应的次数。

§3.1.2 速率方程与动力学参数

表示反应速率与作用物(包括反应物、产物及添加物)的分压(或浓度)关系。

微分速率方程 :

\[r = f(P_1,P_2,...,P',P'',...)\]

常见形式:

幂式速率方程 :

\[r = kP_A^{\alpha} P_B^{\beta}\cdots\]

双曲线式速率方程 :

\[r = \frac{k\lambda_i P_i}{1+\lambda_1 P_1 + \lambda_2 P_2 + \cdots}\]

149f1930d831dc4af59f5e70f4dff738
  1. 过渡态理论 (Transition State Theory, TST) 绝对反应速率理论 (absolute rate theory, ART); 活化络合物理论 (activated complex theory)

化学反应经过一个中间的过渡态,即反应物分子在互相接近的过程中先被活化而形成活化络合物。络合物极不稳定,可以变回原来的反应物,也可以分解为产物。

形成活化络合物为快步骤,活化络合物分解为慢步骤 : \(A + B \rightleftharpoons [A\cdots B]^{\neq} \rightarrow P\)

反应物与活化络合物形成热力学平衡 \(K^{\neq} = \frac{C^{\neq}}{C_A C_B}\)

反应物速率 \(r = vC^{\neq} = \frac{k_B T}{h} K^{\neq} C_A C_B\)

反应速率常数 k \(k = \frac{k_B T}{h} K^{\neq}e^{-\frac{\Delta G^{\neq}}{RT}} = k_B T e^{-\frac{\Delta S^{\neq}}{R}} e^{-\frac{\Delta H^{\neq}}{RT}}\)

多相催化中,中间络合物就是吸附中间态。



deca1d823112589ae9aec79728006499
  1. 2009 公主岭市玛钢有限责任公司 (4 号线)脱箱造型机线、砂处理线 610*508FBOIII

  2. 2009 河北省鸡泽县玛钢厂铸造厂脱箱造型机线 610*508FBOIII

  3. 2009 吉林世宝机械制造有限公司脱箱造型机线(浇注 )700*600FCMXIII

  4. 2009 山东隆基机械股份有限公司 (1 号线)脱箱造型机线 700*600FCMXIII

  5. 2009 山东隆基机械股份有限公司 (2 号线)脱箱造型机线 700*600FCMXIII

  6. 2009 山东隆基机械股份有限公司 (3 号线)脱箱造型机线 700*600FCMXIII

  7. 2009 四川绵阳好圣汽车零部件制造有限公司脱箱造型机线(浇注 )700*600FCMXIII

  8. 2009 浙江双源合金铸造成型有限公司脱箱造型机线 610*508FBOII

  9. 2009 烟台胜地汽车零部件制造有限公司 (5 号线)脱箱造型机线(浇注 )700*600FCMXIII

  10. 2009 烟台胜地汽车零部件制造有限公司 (7 号线)脱箱造型机线(浇注 )700*600FCMXIII

  11. 2009 江阴亿达集装箱材料有限公司脱箱造型机线 610*508FBOIII

  12. 2010 山东隆基机械股份有限公司 (4 号线)脱箱造型机线 610*508FBOIII

  13. 2010 山东隆基机械股份有限公司 (6 号线)脱箱造型机线 700*600FCMXIII

  14. 2010 山东隆基机械股份有限公司 (7 号线)脱箱造型机线(浇注 )700*600FCMXIII

  15. 2010 溧阳虹翔机械制造有限公司脱箱造型机线 450*350FDNXI

  16. 2010 聊城方圆机械有限公司脱箱造型机线 450*350FDNXI

  17. 2010 柳州市励志铸造有限责任公司脱箱造型机线 711*660FBOIV

  18. 2010 鄂城县宏发工程机械有限公司脱箱造型机线 610*508FCMXI

  19. 2010 安徽盛隆电力设备有限公司脱箱造型机线 610*508FCMXI

  20. 2010 太谷县鑫远电气设备有限公司脱箱造型机线 550*450FBOI

  21. 2010 吉林省国强车辆装备有限公司脱箱造型机线 610*508FCMXI

  22. 2010 烟胜地汽车零部件制造有限公司 (8 号线)脱箱造型机线(浇注 )700*600FCMXIII

  23. 2010 烟胜地汽车零部件制造有限公司 (9 号线)脱箱造型机线(浇注 )700*600FCMXIII

  24. 2010 长春市宏新炉配件厂脱箱造型机线 610*508FBOIII

  25. 2010 欧玛(中国)汽车部件有限公司脱箱造型机线 610*508FBOIII

  26. 2010 浙江新界实业股份有限公司 (1 号线)脱箱造型机线(浇注 )610*508FCMXIII

  27. 2010 上海丰充压缩机配件有限公司脱箱造型机线 450*350FDNXI

  28. 2010 重庆爱奥铸造有限公司脱箱造型机线 610*508FBOIII

  29. 2010 新东工业商贸(昆山)有限公司脱箱造型机线 450*350FDNXI

  30. 2010 吉林世宝机械制造有限公司脱箱造型机线(浇注 )700*600FCMXIII

  31. 2010 山东隆基机械股份有限公司 (7 号线)脱箱造型机线(浇注 )700*600FCMXIII

  32. 2010 山东隆基机械股份有限公司 (8 号线)脱箱造型机线(浇注 )700*600FCMXIII

  33. 2010 河北景县金利铸造有限公司脱箱造型机线 450*350FDNXI

  34. 2010 兴盛铸造有限公司脱箱造型机线 450*350FDNXI

  35. 2011 新东工业商贸(昆山)有限公司脱箱造型机线 450*350FDNXI

  36. 2011 莱州三力汽车配件有限公司 (3 号线)脱箱造型机线(浇注 )610*508FCMXIII



c09fdc379e0a453ecbf73bf08370030f

诊断 : 上消化道出血 结果 编号 项目代码结果单位参考值 年龄 :24 WBC 白细胞计数 4.90$10^{9}/L$3.8~5.1 RBC 红细胞计数 4.17$10^{12}/L$115~150 HGB 血红蛋白 116g/L125~130 PLT 血小板计数 207$10^{9}/L$125~350 NEU% 中性粒细胞百分比 62.8%40~75 LY% 淋巴细胞百分比 29.0%20~50 MO% 单核细胞百分比 7.60%3~10 BA% 嗜碱粒细胞百分比 0.40%0~1 EO% 嗜酸粒细胞百分比 0.02%0.02~0.52 BA# 嗜碱粒细胞数目 0.01$10^{9}/L$0~0.06 HCT 红细胞积压 37.0%35~45 MCV 红细胞平均容量 88.7fL82~100 MCH 红细胞平均血红蛋白数量 27.8pg27~34 MCHC 平均血红蛋白浓度 314g/L316~354 PCT 血小板分布宽度 0.190g/L0.114~0.282 NEU# 中性粒细胞数目 3.08$10^{9}/L$1.8~6.3 MO# 单核细胞数目 0.37$10^{9}/L$0.1~0.6 LY# 淋巴细胞数目 1.42$10^{9}/L$1.1~3.2 PDW 血小板分布宽度 9.7%9.8~18.1 MPV 血小板平均体积 9.0fL9.0~13.0 P-LCR 大型血小板比率 17.10%11.5~14.5 RDW-CV 红细胞体积分部宽度 13.40%



22f0671513550e7e1560d2745a220f55

山坪学校留守儿童信息登记表

序号 学生姓名 年龄 性别 家庭住址 联系电话
1 朱明伟 14 山坡村 1287875220
2 刘光勇 14 山坡村 15975656815
3 陈小妹 14 克木村 1395397527
4 张长乐 13 青林溪 13977548627
5 叶春梅 13 桃树湾 1358207814
6 李金兰 13 吴家堡 1599296778
7 刘振华 13 石桥铺 1582154198
8 黄海燕 13 西岸 1882114918
9 林秋红 13 四川 1881634883
10 外国生 13 山大西郊农场 1382764650
11 赵志刚 13 山大法学院 178758751/2
12 张玉龙 13 东关 15810884125
13 刘子涵 13 凤凰路 1396331310
14 张文涛 13 通化 1582089217
15 张晓宇 13 山师附小 1382767048
16 曹立群 13 泰山医学院 15810884125
17 苏亚飞 13 泰安市泰山区省庄镇 1382787048
18 赵亚欣 13 泰安市泰山区省庄镇 1382787048

是否留守儿童 是否经常与父母联系 是否已家访过家访时



25df6a4ce0efffbbc2bcda13c1762a71

桥梁 \n 隧道



b695fc2c449497cc590c4e3303feb82c

盐城市建筑施工标准化工地检查表(一 )(规定项)槽目名称 : 序号 规定检查项 评价结果 相关记录 符合 不符合 1 符合市级标准化文明示范工地申报条件 2 按规定办理施工许可证 编号 _ _ 3 未发生生产安全事故 人数 _ 日期 _ 4 按 JGJ59-2011 开展安全生产标准化自评工作 次数 分 平均得分 _ 5 按标准化工地检查表开展自评工作 次数 平均得分 _ 6 因违法违规行为被县及以上建设行政主管管理部门行政处罚的。 文号 _ 7 在各类检查中被市及以上建设行政主管部门通报批评的、施工扬尘被省级督查通报过的 文号 _ 8 因项目存在安全隐患等问题在一年内受建设行政主管部门 2 次以上停工整改的 文号 _ 9 项目存在严重质量缺陷并被投诉核实的。 10 末落实四制度特别是农民工工资专户和工资代发的或发生农民工工资拖欠行为的。 共检查 __ 项,符合 __ 项,不符合 __ 项 备注 市政公用工程施工许可证不作强制规定,过渡 2020 年-2023 年。 检查组组长 : 成员 : 检查日期 : 年 月 日 -10-



981326a2fc81741a524487cda1b3ef7d

山东省普通高校招生填报志愿指南

普通类 · 提前批

02 人文科学院系及专业名称备注不限 43 学费每年 145000 港元(包括文学院、教育学院 ; 法律学院及社会科学共 31 个主修专业,详细见招生网页 www.cuhk.edu.hk/adm/mainland)。

03 商学院不限 42 学费每年 145000 港元(含商学院共 10 个主修课程,环球商业学、国际贸易及中国企业、工商管理学士及法律博士双学位课程,酒店旅游及房地产、保险金融与精算等专业,详见招生网页 www.cityu.edu.hk/adm/mainland)。

05 工学院工程类物理或化学 43 学费每年 145000 港元(含工学院及理学院共 25 个主修专业,包括材料科学与工程、内外全科医生、护理、药剂学、公共卫生、理学(包括生物医学、生物学、细胞及分子生物学、分子生物技术、生物统计学、生物信息学、系统与合成生物学、环境科学、地球科学、数学、统计学、心理学、社会工作、国际关系及全球事务、中文及历史、英语语言文学应用、媒体与传播、数码电视与广播、公共政策与政治 )( 考生高考实际分数(不含加分)达到特殊类型招生控制线,英语成绩须达 120 分或以上。按学院有关选学系 / 入读专业的安排和入学奖学金详情见本内地招生网 www.cityu.edu.hk/adm/mainland 之 2023 年本科内地招生章程第五章或学校本招生微信公众号 )。

06 工学院工程类物理或化学 44 学费每年 145000 港元(含工学院共 12 个主修专业,包括工程学院、材料科学与工程、电子计算机科学与工程、能源与环境工程学、金融科技学、系统工程与工程管理、人工智能系统、计算数据科学、会计及财务、商业经济、金融管理、管理学、环球运营管埋、商业决策分析、市场营销 )( 考生高考实际分数(不含加分)达到特殊类型招生控制线,英语成绩须达 120 分或以上。按学院有关选学系 / 入读专业的安排和入学奖学金详情见本内地招生网 www.cityu.edu.hk/adm/mainland 之 2023 年本科内地招生章程第五章或学校本招生微信公众号 )。

N0006 香港城市大学

01 商学院不限 42 学费每年 145000 港元(环球商业、会计、商业经济、环球运营管埋、环球商业学、会计及财务、商业经济、环球运营管埋、环球商业学、会计及财务、环球运营管埋、环球商业学、会计及财务、环球运营管埋、环球商业学、会计及财务、环球运营管埋、环球商业学、会计及财务、环球运营管埋、环球商业学、会计及财务、环球运营管埋、环球商业学、会计及财务、环球运营管埋、环球商业学、会计及财务、环球运营管埋、环球商业学、会计及财务、环球运营管埋、环球商业学、会计及财务、环球运营管埋、环球商业学、会计及财务、环球运营管埋、环球商业学、会计及财务、环球运营管埋、环球商业学、会计及财务、环球运营管埋、环球商业学、会计及财务、环球运营管埋、环球商业学、会计及财务、环球运营管埋、环球商业学、会计及财务、环球运营管埋、环球商业学、会计及财务、环球运营管埋、环球商业学、会计及财务、环球运营管埋、环球商业学、会计及财务、环球运营管埋、环球商业学、会计及财务、环球运营管埋、环球商业学、会计及财务、环球运营管埋、环球商业学、会计及财务、环球运营管埋、环球商业学、会计及财务、环球运营管埋、环球商业学、会计及财务、环球运营管埋、环球商业学、会计及财务、环球运营管埋、环球商业学、会计及财务、环球运营管埋、环球商业学、会计及财务、环球运营管埋、环球商业学、会计及财务、环球运营管埋、环球商业学、会计及财务、环球运营管埋、环球商业学、会计及财务、环球运营管埋、环球商业学、会计及财务、环球运营管埋、环球商业学、会计及财务、环球运营管埋、环球商业学、会计及财务、环球运营管埋、环球商业学、会计及财务、环球运营管埋、环球商业学、会计及财务、环球运营管埋、环球商业学、会计及财务、环球运营管埋、环球商业学、会计及财务、环球运营管埋、环球商业学、会计及财务、环球运营管埋、环球商业学、会计及财务、环球运营管埋、环球商业学、会计及财务、环球运营管埋、环球商业学、会计及财务、环球运营管埋、环球商业学、会计及财务、环球运营管埋、环球商业学、会计及财务、环球运营管埋、环球商业学、会计及财务、环球运营管埋、环球商业学、会计及财务、环球运营管埋、环球商业学、会计及财务、环球运营管埋、环球商业学、会计及财务、环球运营管埋、环球商业学、会计及财务、环球运营管埋、环球商业学、会计及财务、环球运营管埋、环球商业学、会计及财务、环球运营管埋、环球商业学、会计及财务、环球运营管埋、环球商业学、会计及财务、环球运营管埋、环球商业学、会计及财务、环球运营管埋、环球商业学、会计及财务、环球运营管埋、环球商业学、会计及财务、环球运营管埋、环球商业学、会计及财务、环球运营管埋、环球商业学、会计及财务、环球运营管埋、环球商业学、会计及财务、环球运营管埋、环球商业学、会计及财务、环球运营管埋、环球商业学、会计及财务、环球运营管埋、环球商业学、会计及财务、环球运营管埋、环球商业学、会计及财务、环球运营管埋、环球商业学、会计及财务、环球运营管埋、环球商业学、会计及财务、环球运营管埋、环球商业学、会计及财务、环球运营管埋、环球商业学、会计及财务、环球运营管埋、环球商业学、会计及财务、环球运营管埋、环球商业学、会计及财务、环球运营管埋、环球商业学、会计及财务、环球运营管埋、环球商业学、会计及财务、环球运营管埋、环球商业学、会计及财务、环球运营管埋、



1304c687690612b0b96f74284d648f6a

10.6 分部分项工程和单价措施项目清单与计价表 工程名称 : 建筑与装饰工程 标段 : 马依西一井主场地生活区 1#10、0.4kV 变电所 第 4 页 共 9 页

序号 项目编码 项目名称 项目特征描述 计量单位 工程量 全费用综合单价 合价 暂估价

序号 项目编码 项目名称 项目特征描述 计量单位 工程量 全费用综合单价 合价
39 010516002003 预埋铁件 1. 钢材质类 :Q235B t 1.875 12269.93 23006.12
40 010516002004 预埋铁件 1. 钢材质类 :Q235B t 0.856 12269.93 10503.06

装饰装修工程 门 窗 工 程

序号 项目编码 项目名称 项目特征描述 计量单位 工程量 全费用综合单价 合价
41 010802003001 钢质防火门 1. 门代号及洞口尺寸 :Fm 甲 1824 m2 8.64 491.7 4248.29
42 010807001001 金属(塑钢、断桥)窗 1. 窗代号及洞口尺寸 :C1 m2 24.75 374.85 9277.54

楼地面工程

序号 项目编码 项目名称 项目特征描述 计量单位 工程量 全费用综合单价 合价
43 011102003001 块料地面 1. 素土夯实基层垫层找平抹灰面层找平 m2 114.64 349.09 40019.68
44 011105003001 块料踢脚线 1.25mm 厚 1:2 水泥砂浆 m2 8.3 327.01 2714.18

本 小 计

序号 项目编码 项目名称 项目特征描述 计量单位 工程量 全费用综合单价 合价
45 011105003001 块料踢脚线 1.25mm 厚 1:2 水泥砂浆 m2 8.3 327.01 2714.18

注 : 为便于规费的使用,可在表中增加其:“定额人工费”。

以上是我根据图片内容生成的 markdown 文本:



21f14d7bde3c802615faf1c5f8d7fda0

坑内梯笼泥泞滑溜,项目部应安排专人定期清理,确保工人上下行走安全。



24dd3094381ccfaeea0ad01c7f965721

3、报价清单表

货物报价清单(表 1)

序号 货物名称 技术参数及性能配置要求 单位 数量 单价 金额
1 2023 年学平险投保单《致学生及家长的一封信》 尺寸 210*140mm,157 克铜板纸封面(封面封底彩印,封二封三黑白)+ 二联无碳复写连单一份(双面印,第一联正反面白黑,第二联正面有红章,双色印,背面黑白)+70 克纸黑白印刷 6P+ 胶装 179900    

合计金额(大写)人民币 (小写)¥

发票类型(勾选):□增值税专票 □增值税普票

发票税率:% 交期: 年 月 日前

说明:

  1. 本次投标报价包括一切税金和费用,最高上限价 98945 元,超过此上限额作废标处理;
  2. 报价清单表格加盖投标人印章,评审结果按供应商评标价由低到高排序,有效回标 2 家及以上选用评标最低的供应商作为中标(成交)供应商;有效回标 2 家以下时本项目流标。如报价者投标报价相同,由评审小组成员每人投一票且得票数居多的供应商为中标(成交)供应商;
  3. 其他技术标准要求以合作协议约定为准。

供应商全称(盖章):

供应商全权代表(签字):



6a1c73de9f094cf24cd9f26984f14d23

(2) 当作业人员从 2m 及以上的高处坠落后来时;

(3) 当头部有可能触电时;

(4) 在低矮的部位行走或作业,头部有可能碰撞到尖锐、坚硬的物体时。

安全帽的佩戴要符合标准,使用要符合规定。如果佩戴和使用不正确,就起不到充分的防护作用。一般应注意下列事项 :

(1) 戴安全帽前应将帽后调整带按自己头型调整到适合的位置,然后将帽内弹性带系牢。缓冲垫垫的松紧由带子调节,人的头顶和帽体内顶部的空间垂直距离一般在 25~50mm 之间,至少不要小于 32mm 为好。这样才能保证当受到冲击时,帽体有足够的空间可供应冲,平时也有利于头和帽体间的通风。

(2) 不要把安全帽歪戴,也不要将安全帽沿戴在脑后方。否则会降低安全帽对于冲击的防护作用。

(3) 安全帽的下领带必须扣在领下,并系牢,松紧要适度。这样不至于被大风吹掉,或者是被其他障碍物碰掉,或者是由于头的前后摆动,使安全帽脱落。

(4) 安全帽顶除了在帽体内安装了帽衬外,有的还开了小孔通风。但在使用时不要为了透气而随便再开孔。因为这样作将会使帽体的强度降低。

(5) 由于安全帽在使用过程中会逐渐损坏。所以要定期检查,检查有没有龟裂、凹陷、裂缝和磨损等情况,发现异常现象要立即更换,不准再继续使用。任何受过重击、有裂痕的安全帽,不论有无损坏现象,均不准再继续使用。



9f1f58c10248c738c17a3a7364d9b010

目录

释义 \t\t\t\t\t2

前言 \t\t\t\t\t4

摘要 \t\t\t\t5

正文

一、晋新公司基本情况 \t6

二、出资人权益调整方案 \t12

三、债权分类及调整方案 \t13

四、债权受偿方案 \t15

五、经营方案 \t\t16

六、重整计划的执行和执行监督 \t17

七、其他事项 \t\t18

结语 \t\t\t24



2447cc8d435ef6e7cc67e506e1c15205

五、努力提升青少年法治教育的针对性和实效性

33. 将法治知识纳入初中业水平测试。学校内有法治宣传材料,法治宣传教育有经费保障。对全县半数道德与法治课教师进行 1 次轮训。[牵头单位:县教育体育局,配合单位:县公安局、县财政局、县司法局、县人民法院、县人民检察院 ]

34. 落实法治副校长、法治辅导员制度,全县中小学 2023 年底实现法治副校长 100% 配备和法治副校长轮训工作全覆盖,每名法治副校长每学期到校开展法治宣传教育不少于 2 课时。[牵头单位:县教育体育局,配合单位:县公安局、县司法局、县人民法院、县人民检察院 ]

35. 发挥县青少年法治宣传教育基地的作用,探索试行基地宣传设施移动巡回展出。[牵头单位:县教育体育局,配合单位:县司法局 ]

36. 在新生入学等时间节点,组织学生开展法治宣传教育,深入开展教育法、义务教育法、家庭教育促进法、未成年人保护法、预防未成年人犯罪法等法律法规宣传活动。[牵头单位:县教育体育局,配合单位:县公安局、县司法局、县人民法院、县人民检察院 ] 全年组织开展“学宪法讲宪法”“宪法展读”活动。在青少年“成人礼”仪式中,开展宪法宣誓,提倡赠送宪法单行本。[牵头单位:县教育体育局,配合单位:县司法局、团县委 ]



ff46248e235e87d1920ec5dcce1ba847

怀化市国土空间生态修复规划(2021-2035 年)

党的十八大以来,以习近平同志为核心的党中央从中华民族永续发展的高度出发,把生态文明建设提高到中国特色社会主义建设“五位一体”总体布局的战略高度。党的二十大报告中明确提出:“必须牢固树立和践行绿水青山就是金山银山的理念”,“坚持山水林田湖草沙一体化保护和系统治理,统筹产业结构调整、污染治理、生态保护、应对气候变化,协同推进降碳、减污、扩绿、增长,推进生态优先、节约集约、绿色低碳发展”。

怀化市地处武陵山脉和雪峰山脉之间,生态环境条件得天独厚,资源禀赋优越,是全国九大生态良好区域之一。近年来,深入贯彻习近平生态文明思想,坚定不移走“生态优先、绿色发展”之路,坚持尊重自然、顺应自然、保护自然,扎实推生态保护,全市生态环境质量持续转好。新时期下,为进一步深入贯彻落实习近平生态文明思想和省委省政府决策部署,科学谋划怀化市国土空间生态修复活动,根据部门职责分工,由怀化市自然资源和规划局牵头,会同发改、财政、生态环境、住建、水利、农业农村、林业等部门,在充分衔接《全国重要生态系统保护和修复重大工程总体规划(2021-2035 年)》、《南方丘陵地带生态保护和修复重大工程建设规划(2021-2035 年)》、《湖南省国土空间生态修复规划(2021-2035 年)》、《湖南省国土空间生态修复规划(2021-2035 年)》等相关规划的基础上,组织编制了《怀化市国土空间生态修复规划(2021-2035 年)》(以下简称《规划》)。



db6df33515c6c6b010eaf2c1843ecc18

理健康、法制教育等,不断提高安全教育的针对性。 4、组织开展第 22 个全国中小学生安全教育日、第十个福建省学校安全教育周和第 16 个“安全生产月”,以及综合治理宣传周、4.21 防空疏散演练、5.12 全国防灾减灾日和防灾减灾宣传活动、游泳安全和防溺水宣传季、11.9 消防宣传日、12.2 交通安全日和学校安全法律颁布实施纪念日宣传教育活动。 5、加强家校联系,请家长配合共同做好学生的安全教育与督促工作,特别是要加强游泳安全方面的教育,同时还要加强交通安全、防火安全、饮食卫生安全、防绑架、防雷击、防山洪爆发等安全知识教育,不断提高青少年学生自我保护意识和能力,预防和减少各种事故的发生。 6、利用主题班会、黑板报、专题讲座、家长会等形式,在开学、期中、期末面向全体师生开展丰富多彩的安全教育活动。尤其在“安全教育宣传”栏,及时发布当月安全教育主题、每周安全教育内容和安全预警信息,主题突出,专题性强,把安全教育渗透到日常学校生活中。 7、贯彻落实《中小学公共安全教育指导纲要》,切实做好安全教育进课堂工作,把《安全与健康》纳入课堂教学计划,做到有课时、有任教(教案)、有评价;充分利用课堂教育的主阵地、主渠道,每学期安排不少于 12 课时的安全教育。积极开展 5 分钟安全教育,全面系统地培养学生安全



25b64365ea233cb90bc7f88197bf519e
序号 零件名称 零件代码 数量 / 单位价 单位 到货日期 金额 供应商回复
000010 42X20X10X0.63X11oX.21 直纹搓丝刀 2 22-9-28 2,300.0000 符孝伟 221183
000020 42X20X11.2X90X.19 斜纹搓丝刀 10 22-9-28 11,500.0000 符孝伟 221183
000030 170050100 螺母止动垫片 10 22-9-28 150.0000 15.0000
000040 31001698 阳力线轮 1 22-9-28 150.0000 15.0000
000050 R5OF2.0783.900706 转子卡头 3 22-9-28 485.0000 符孝伟 221183
000060 MT-DHJ-JD2.5-1O1-339 D2.5 转子卡头 2 22-9-28 970.0000 符孝伟 221183
000070 37023890 D6 中号转子卡头 4 22-9-28 1,455.0000 符孝伟 221183
000080 R90CB086093012600 卡头拉杆 2 22-9-28 356.0000 符孝伟 221183
000090 31000555 飞叉皮带轮轴 2 22-9-28 570.0000 符孝伟 221183
000100 31000552 飞叉套 2 22-9-28 285.0000 符孝伟 221183
000110 P-MT-NGPLS-AO1-001 穿花针 1 22-9-28 185.0000 符孝伟 221183
000120 8-TZ-17037-OP30-05-023 挡料杆 2 22-9-28 260.0000 符孝伟 221183
000130 P-MT-COMPACT-21 磁瓦滑道 2 1 22-9-28 685.0000 符孝伟 221183
备注:             1. 请在 24 小时内签回副本,如果 24 小时内不回复,默认供应商接受订单;
              2.1. 请在 24 小时内签回副本,如果 24 小时内不回复,默认供应商接受订单;

注意:表格中的数字可能因为 OCR 识别错误而出现小的偏差。


参考资料快照
参考资料快照