阿里千问 版本 / 图片转 Markdown

阿里千问 AI QWEN 用 QWEN,图片转 Markdown。 有的问题是 Markdown 渲染的问题,并不一定是 QWEN 的问题。

  • 编号问题。Markdown 不会遵循源码,会重新编号。
  • 表格问题。Markdown 的表格语法非常简单,并不支持复杂表格。
  • 公式的竖线被 Markdown 识别成了表格。
  • 有的地方存在语法错误,无法顺利渲染。

计量计费 模型介绍

通义千问大规模视觉语言模型增强版。大幅提升细节识别能力和文字识别能力,支持超百万像素分辨率和任意长宽比规格的图像。在广泛的视觉任务上提供卓越的性能。 qwen-vl-plus 0.008 元 /1,000 tokens 用的这个,算下来,平均一张图片 0.023544 元。

通义千问超大规模视觉语言模型。相比增强版,再次提升视觉推理能力和指令遵循能力,提供更高的视觉感知和认知水平。在更多复杂任务上提供最佳的性能。 qwen-vl-max 0.02 元 /1,000 tokens



7687a0b57c250d0c222b60980520eab6

此信先生:

有李云翔先生转交,

何维达教授电告国府,方知大

助之至。上七人皆汉奸也,请公

如如何变现,并专函告知,则谢

顺颂商祺!

毛泽东 八月廿五日



089b203ccfd730170d5fcb77b669bd62

小芳:

你现在包上课了吗?你是很好的孩子不拍没有进步步更怏

但不可太用功 要多去站三身髄好 我都爱看

请代我问梦妈的好 小兰同婷弟的事好的

大通于二月二十日



cffa97e271aff114a67cfc79f41a82de

英语六上(期末二)

听力部分

第五题选择正确的答案

  • (B) What are they going to do this year?
    • A. Visit grandparents.
    • B. Take a trip.
    • C. Learn how to swim.

笔试部分

判断单词画线部分发音是否相同

   
T sea, meet
F mice

选词填空

A next week; bookstore; worried; cook B next to; dictionary; traffic; take
C should; afraid D worker; cleaner; study

选择正确选项

   
C I'm going to read books in the library. B see a film
B It's next to the museum. C tomorrow
C She dances Chinese. A what
C He lives in Canberra. B does sports
C You should see a doctor. B more exercise
C We're having a party next weekend. B have
A by bike B on foot


e4a4e51d711d765cac86cc0f2eea1d4a

账户历史交易明细表

记账日期 货币 交易金额 联机余额冲补账
2015/11/01 人民币 -4,703.98 23,183.98
       
    活期理财转金融理财户 对私提出贷转账

网点名称:烟台分行开发区支行

账号:[此处被遮挡]

账户类型:个人活期结算

账户序号:00004

记录日期:2015 年 11 月 1 日



1016ef3ce027b3db0d255cb7ee139b98

年龄 : 24\n 诊断 : 上消化道出血

\begin{tabular}{l|c|r} 项目 & 代码 & 结果
\hline 白细胞计数 & WBC. & (4.90 \times 10^9/L)
红血球计数 & RBC. & (4.17 \times 10^{12}/L)
血红蛋白浓度 & HGB. & (116 g/L)
血小板计数 & PLT. & (207 \times 10^9/L)
白细胞比例(百分比)& NEU% & (62.8 \%)
淋巴细胞比例(百分比)& LY% & (29.0 \%)
单核细胞比例(百分比)& MO% & (7.60 \%)
嗜酸粒细胞比例(百分比)& EOS% & (0.40 \%)
嗜碱粒细胞比例(百分比)& BAC% & (0.0 %)
嗜酸粒细胞数量 & EOC# & (0.02 \times 10^9/L)
嗜碱粒细胞数量 & BAR# & (0.01 \times 10^9/L)
平均血红蛋白含量 & MCHC & (314 pg)
平均血红蛋白数量 & PCT & (0.190 g/L)
中性粒细胞数量 & NEU# & (3.08 \times 10^9/L)
单核细胞数量 & MO# & (0.37 \times 10^9/L)
淋巴细胞数量 & LYG# & (1.42 \times 10^9/L)
血小板分布宽度 & PDW & (9.7\%) 血小板平均体积 & MPV & (9.0 fL)
大型血小板比率 & P-LCR & (17.10)\% 红细胞体积分布 CV & RDW-CV & (13\,\%)
红细胞体积分布宽度 & RDW-SD & (41.40\,fL)
\end{tabular}



2ae060401b9fa46b6d9d43888ba37511

性能监视

性能监视对软件调优(tuning)和软件调试都有着重要的意义,为了更好地满足性能监视任 务的需求,IA 处理器从奔腾开始就提供了性能监视机制,包括专门的计数器、寄存器、CPU 管脚 和中断请求等 .

简单地指出的是,虽然从奔腾 CPU 开始的所有 IA 处理器都包含了性能监视支持,但是直到 core Solo 和 Core Duo 处理器公布时,才将一部分性能监视机制纳入到 IA 架构中,其他部分仍 恒与处理器型号相关 . 换句话说 ,IA CPU 的性能监视机制纳入到 IA 中,其它部分仍然恒与处理 器型号相关的使用时,逐次检查 CPU 的型号下面按照由简至复杂的顺序分别介绍不同 IA CPU 的性 能监视机制 .

奔腾处理器的性能监视机制

奔腾处理器是第一个引入性能监视机制的 IA 处理器,该机制包括两个 40 位的性能计数器 (PerfCntl0 and PerfCntl1) 一个 32 位名为 CESR(Counter Event Select Register) 的控制寄存器以及处 理器上的 PMO/BP0 和 PMI/BNP1 管脚用于向外部硬件通知计数状态(各对应一个计数器 ).

PerfCntl、PerfCntl 和 CESR 都是 MSR 可以通过 RDMSR 和 WRMSR 指令来访问下面我们以 CESR 的形式索线图-10 画出了 CESR 的各个域 . 显然易见 ,CESR 的高 16 位和低 16 位的布局是相同的 . 低 16 位应对应数字 0, 高 16 位对应 数字 1 每个部分都包含下而 3 个域 :

ES( 事件选择 ): 用来选择要测量(监视)的事件类型,例如 DATA_READ、DATA_WRITE、CODE_READ 等 .IA 手册卷 3B 附录 A 列了每种 IA-32 处理器所支持全部事件类型 .

CC 计数器控制域 : 用来设置计数器选项其可能值含义如下 :
    * 000 停止计数 .
    * 001 当 CPL=0 或 1 或 2 对选定的事件计数 .
    * 010 当 CPL =3 对选定的事件计数 .
    * 011 不论 CPl 为何值,都对选定的事件计数 .
    * 100 停止计数 .

明显可见 ,CESR 的高 16 位和低 16 位的布局是相同的 . 低 16 位对应的数字 0, 高 16 位对应的 数字 1 每一个部分都有三个区域:

  • ES(事件选择),用它来决定你要监控什么类型的事件,比如 DATA_READ、DATA_WRITE、CODE_READ 这些都是 IA 手册第 3B 章附件 A 中列出的各种 IA-32 处理器上所有支持的事件类型;

  • CC(计数器控制器)。这个是用来设定计数器的选择项,它的可能性及含义如 下所示:

    • 000 表示停止计数;
    • 001 表示当 CPL 是 0、1 或者 2 时候针对特定事件进行计数;
    • 010 表示当 CPL 是 3 时候针对特定事件进行计数;
    • 011 表示无论 CPL 是多少都会针对特定事件进行计数;
    • 100 表示停止计数;


7b0709876efd3bdee31c43012a673fba

耶稣啊! 耶稣啊! 耶稣啊!

我感谢你! 感谢你拯救我灵魂! 耶稣啊,

我是灵魂得罪了上帝, 我的灵魂对上帝犯了罪。

我原本该死,该灭亡的罪人, 是亚当里面的罪人,我要下地狱的罪人。

我原本是要受永远刑罚的罪人, 我是

我没有一样是对的,都是错的, 唯有你是对的。

主啊!感谢你赦免我的罪! 感谢你得了罪了你,成了你的仇敌,被魔鬼骗了呀!

耶稣啊!我本该下地狱呀! 本该受永刑呀! 本该被火烧呀! 本该被虫咬呀!

耶稣啊!感谢你! 感谢你救了我的罪,为你我要下地府的罪钉死在十字架上!谢谢你在十架上的功劳啊!

因着宝血洗净了我们的罪孽,遮盖了我们一切的不义。



6016bd0463ddb1f33d761e32f28c95dd

素养课堂(五)

评估范围:第 5 单元

说明:

  • 时间 90 分钟;
  • 书写工整 5 分;
题号 评价
第一部分 [积累运用]  

一、阅读语段,完成练习。(14%)

  1. 根据语境读拼音写词语。(4%)
  2. 根据 "孺”的形旁子", 可猜测出 ' 妇儒皆知’这个词与 __ 有关 ; 根据 " 粒粒皆辛苦 " 中 " 皆 " 的意思可知 ,' 妇儒皆知 ' 中的 " 皆可以迁移理解为 _____ 综上 ," 妇儒皆知”的意思是 _______
  3. 在 " 春雨贵如油 " 中抓住关键词字 " 贵 ", 可以理解这句话的意思是 ______ 这样的句子我还知道 :
    草长莺飞二月天出自清代诗人高鼎的《》这首诗的后两句是

选择题(12%)

A 心直口快 B 挺直腰杆 C 横冲直撞 D 正直无私

下列句于中与其他三个句子类型不同的一项是()六月六,看谷秀。
B 处暑不出头,割谷喂老牛。
C 百日不下雨 —— 久情晴 )
D 蚂蚁搬蛇过道大鱼不久就要来到



63dea84c4a704e91d261c0dc59cf5c58

题目要求

试说明长期借款筹资的优点与缺点。

答案:

优点主要有

  • 借款资本成本较低;
  • 借款资金速度快;
  • 资金弹性较大;可以发挥财务杠杆的作用。

不足之处主要表现在

  • 借款风险较大;
  • 借款筹资限制条件较多;
  • 借款筹资数量有限。

解析

融资租赁筹资的主要优缺点如下 :

(1) 优势

  • 迅速获得所需资产 ;
  • 限制较少 ;

(2) 缺点

  • 成本较高 ;
  • 在公司遇到困难时,支付固定的租金会成为一项沉重负担 .

优先股筹资的优势包括 :

  • 固定分红权 ;
  • 分配公司的剩余收益 ;
  • 表面没有负债 ;
  • 可以被回购 ;

企业持有现金的原因有 :

  • 提供流动性 ;
  • 应对不确定性 ;
  • 满足法律或合同义务等 . 现金管理涉及的问题主要包括 :
  • 最佳现金余额水平确定 ;
  • 现金筹集方式选择 ;
  • 现金支出控制 ;
  • 利用闲置现金流获取投资机会等 .

思考题

为什么说长期借款是一种债务性筹资 ?

答案要点 :

(1) 从投资者的角度看,发行债券属于一种债权性质的投资行为,即债权人向企业提供了一笔资金,而作为回报,企业在一定时期后需要偿还本金并支付利息给债权人。

(2) 对于企业来说,通过发行债券所筹措的资金也具有一定的约束力,因为当企业的经营状况不佳或者无法按时偿付到期债务时,可能会面临违约的风险。

因此,无论是对企业还是对其它相关方而言,长期借款都体现出了明显的债务属性。



f07c55c89d1fcbd2f92b317263db7fb5

表 B.2 文明施工检查评分表

序号 检查项目 扣分标准
1 现场围挡 市区主要路段的工地未设置封闭围挡或围墙高度小于 2.5m, 扣 5~10 分;一般路段的工地未设置封闭围挡或围墙高度大于等于 1.8m., 扣 5~10 分。
  封闭管理 工地现场进出口未设大门,扣 5 分;未设立门卫制度或未配备门卫值守人员,扣 6~9 分;施工现场进出口未标企业名称及标识,扣 2 分;未在现场出入口处悬挂安全警示标志牌,扣 4-7 分。
2 施工场地 施工作业面材料加工地面未进行硬化处理,扣 5 分;施工现场道路不畅通,路面凹凸不平实沉空鼓现象严重,扣 5 分。
3 材料管理 在建工程主体结构部位模板支撑体系搭设不符合规范要求,扣 3~10 分;易燃爆物品分类存储措施不到位,扣 5~10 分。
4 办公与住宿设施 生活区内宿舍床位超过两层或多宽度不足 0.9 米,扣 2~6 分;生活区内冬季室内无取暖设备或防寒保暖措施不当,扣 5 分;夏季室内无降温降暑和防蚊虫叮咬措施,扣 5 分。
5 公共卫生设施 大门口外侧设置的公示栏内容不全齐整,扣 2~6 分;食堂内部环境卫生状况不佳有害健康因素存在,扣 3~6 分;厨房操作间通风不良采光照明条件差,扣 3~4 分。

小计:

综合治理方面 :

施工现场未能建立治安保卫制度或责任分解落实到位,扣 3~5 分 ;

大门口没有设置明显的公告牌,扣 2~4 分 ;

卫生间内的设施数量布局不符合规定需求,扣 3~6 分 ;

食堂内缺少排风扇空调等制冷暖设备,扣 3~4 分 ; 厕所内的设施数量布置不合理满足不了实际需要,扣 3~6 分 ;

社区服务方面 : 施工现场禁止乱丢弃各类废弃物,扣 8 分; 施工现场制定防火防盗防汛噪音污染控制措施,扣 5 分; 未经许可不得随意开挖基坑,扣 3 分; 施工现场缺乏扬尘防治喷淋洒水冲洗保洁等环保措施,扣 5 分。



263b69da277892a279e58dd110277823

以下是识别出的文字:

资产只要持有就能升值

从经济原则看,这未免可笑。反种违背原则的行为大行其道,被认为理所当然。但是泡沫一旦破裂,渴望增值的资产转瞬间变为负资产,不少企业落下一身债务。

你是事后诸葛亮,泡沫破灭后才说风凉话 —— 有人或许这么说法。然而,只要你懂得原理原则,只要你持有正确的哲学,

不管出现什么潮流,你都能做出正确判断。

当时京瓷靠多年辛苦积累,已拥有巨额现金存款,许多人劝导我投资不动产。其中还有银行的人他们见我不知变通”, 还恳切地教我如何赚钱的奥秘。”

但我认为,只把土地从左手转到右手就能赚大钱,天下哪有那样的好事就算来钱那也是不义之财,来得容易去得快因为我就想,所以有关投资的建议一概回绝。

“只有额头流汗,靠自己努力赚来的钱才是真正的利润”

我的信念就这么单纯。这来自做人的正确原埋原则因此在巨额暴利的引诱面前我能告诫自已‘不起贪念’”。内心从未有过丝毫动揺。

由此可见即使蒙受损失也必须遵循的哲学明知吃苦甘愿承受的觉悟一一自己心中有没有这种哲学和觉悟这就是事业成功与否人生幸福与否的分水岭。“不是因为我让担负重要工作集中在工作中有什么资格向公司专车。” 这件事传开以后不久一位董事因公外出司总务部听说了这件事便派给了急于用车的这位董事。



fc1fecf6a4eefb5c90e6a31ddf4efbba

北京增值税专用发票 \nNo. 22750337 \n 开票日期:2022 年 10 月 20 日

购买方信息:

  • 纳税人识别号:9137000031296824XQ
  • 地址电话:山东省济南市历下区世纪大道 *0531-826882
  • 开户行及账号:中国工商银行济南石化新区支行 1602007309200**

货物或应税劳务、服务名称:研发和技术服务 技术服务费

规格型号 单位 数量 单价 金额 税率 税额 合计

$94,339.62$ $5660.38$

合计(大写) 壹拾万圆整 (小写)¥10000.00

销售方信息:

  • 纳税人识别号:91110114MA01EYBWXK
  • 地址电话:北京市海淀区 **民生银行股份有限公司北京天通苑支行 405588
  • 发票人:刘少培 复核:金丽丽 收款人:李丽丽 复核:金丽丽 支付方式:章

备注:泰青威(泰青湾)

扫描全能王 创建



1049c7f60c624131f9dab2d368801664

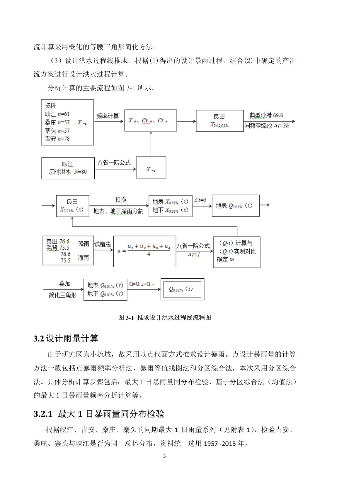
流计算采用概括的等腰三角形简化方法。\n\n(3)设计洪水过程线推求。根据 (1) 得出的设计暴雨过程,结合 (2) 中确定的产汇流方案进行设计洪水过程计算。\n\n 分析计算的主要流程如图 图-1 所示。\n\n 资料 峡江 =61 桑庄 =57 赛头 =57 吉安 =78 \n 峡江历时洪水 N=80 八省一院公式 X-\u0001 地表净雨分割地表 X\u0001(t)\n 良田 主渠 75.6 净雨 75.5 雨量试错法 u\u0001+u\u0004+u\u0004+\u0004m 八省Δt 计算与 Q-t 实测对比确定 m\n 叠加 简化三角形地下 Q\u0001(t)=Q+Q\u0001+t 地表 Q\u0001(t)-t\n 图 图-1 推求设计洪水过程线流程图 \n\n3.2 设计雨量计算 \n 由于研究区为小流域故采用以点代面方式推求设计暴雨。点设计暴雨量的计算方法一般包括点暴雨频率分析法、暴雨等值线图法和分区综合法本次采用分区综合法具体分析步骤包括最大一日暴雨量同分布检验基于分区分析均值法的最大一日暴雨量频率分析计算等。\n\n3.2.1 最大一日暴雨量同分布检验 \n 根据峡江吉安桑庄赛头同期最大一日雨量系列见附表 1 检猃吉安、桑庄、赛头与峡江是否为同一总体分布资料统一选用 1957—2013 年。”



18058970cc58b5655da9330bdbf677fa

同音字、多音字专项训练

一、写出下列的同音字。

(1) zhū(珠)宝 植 (zhí)肥 (féi )( 红 (hóng)

(2) jì 南 (nán)时 (shí)忙 (máng)( 立 (lì)

(3) mǐ蜂 (fēng)书 (shū)茂 (mào )( 林 (lín)

法(fǎ) (5) qí 他 (tā)围 (wéi )( 马 (mǎ)怪 (guài)

(6) fù 责 (zé)亲 (qīn )( 有 (yǒu)女 (nǚ)习 (xí)

(8) jǔ体 (tǐ)大 (dà)非 (fēi)

(9) xìn gō ng 动 (dòng)态 tài 模 mú) (10) lí n g 食 sh í 锲 qi è 巧 qiǎo

(11) bi à n 论 lùn 别 bié

二、 多音字。

杆 gān 杆子 zhàng 称 chèng 称心 jīn 忙 máng 忙碌 sā 散 sàn 散步 shàn 散文 mó 模仿 chén 呈现 zhuó 镀锌 zhǎng 高涨 rónɡ 怜悯 róng 容易

撒 sǎ 撒米 sā 散 sàn 散开 zhǎng 涨红 cún 存放 cān 参加



c614c4a137c4bda7e5a37f8ef552412d

安全生产月活动方案

活动背景与目标

期间我单位将以学习习近平总书记关于安全生产的重要论述作为首要任务,并通过专题片《生命重于泰山 —— 学习习近平总书记关于安全生产重要论述》进行深入学习。旨在强化领导干部对人民至上、生命至上的理念,更好地统筹发展与安全的关系,切实履行好自身的责任并将其付诸行动,在实际工作中落实这些观念以达到维护稳定的安全形势的目标,从而营造一个良好的安全环境来庆祝中国共产党成立一百周年。

启动仪式及宣传工作

6 月 X 日成功举办了今年 "安全生产月”的启动仪式,以此为契机激发广大员工广泛参与此次活动的热情,使他们树立起“安全第一、预防为主、综合治理”的思想意识,进一步增强红线意识,坚守底线思维,承担起自身应尽的责任,普及相关知识技能,全面提升 XX 领域的安全管理能力,为建设优质工程奠定坚实基础。

为了在整个范围内形成浓厚的安全生产氛围,我们定制了主题条幅并在部门宣传栏上展示了专题展板;同时利用 LED 显示屏全天候滚动播放活动标语,大力推广安全生产方针政策法律法规以及职业卫生等常识,让职工充分认识到安全生产的重要性,提高其主动参加的积极性,真正实现推动工作的目的。

主题条幅:

  • “安全生产月”

LED 展示屏:

  • "安全生产月"

部门宣传栏:

  • 宣传材料包括但不限于:“安全生产月”,“安全第一”,“预防为主”,“综合治理”。

其他宣传活动:

我们将举办一系列讲座如大讲堂、“大家谈”、“公开课”、“微课堂”在线访谈等形式多样的活动持续深化习近平总书记关于安全生产重要论述的学习效果,转化为实际行动的具体体现,全力保障安全生产态势平稳,创造良好安全环境迎接党的百年华诞。



823e13c19397fb54d15522d80a386fc6

表格标题

额定容量 kVA 空载损耗 W($100^\circ C, 120^\circ C, 145^\circ C$)
B F H - - -

第一行表格数据

  • B 级负载损耗 W
  • F 级负载损耗 W
  • H 级负载损耗 W

短路阻抗 %



8d50e59b5d47d3c0751c81d29f7d4a55

平.推荐的技术装备需满足以下条件:

(一)技术装备行业领先,处于开发、应用或推广阶段。其中,

开发类指通过自主研发、技术引进等方式,实现重大技术创新、已经用户初步验证的技术装备;

应用类指国内领先、具有行业引领作用和市场应用前景、已实现产业化生产的技 術裝备;

推廣广类指技术成熟可靠、推广应用潜力大、经济适用且有成功应用案例的技术装 备。

二、工作要求

请各省级工业和信息化主管部门会同生态环境主管部



6bbd10716ca7a798e5df5d67c8dcf229

销售货物或者提供应税劳务、服务清单 \n 购买方名称:\n 有限公司 \n 销售方名称:\n 大药房 \n 所属增值税电子专用发票代码:014002100113\n 号码:00162321\n 共 2 页 第 1 页 \n 序号项目名称规格型号单位数量单价金额税率税额 \n1医药云南白药创可贴 100 贴盒 2037,6237625%752.48%\n2中成药伤湿止痛膏 10 帖 9,9009975%74.57%\n3中成药云南白药粉 50g 瓶 334,6534651%743.\n4 化学药品制剂氯氨环烷酸钠基定 40 氟化钠注射液 1ml10 支 1602,772,272221%772.28%\n5 化学药品制剂葡萄糖注射液 250ml 片 16037,623761%475.25%\n6 化学药品制剂右旋糖酐 4 氧化钾注射液 500ml 瓶 1047,524752%475.25%\n7 化学药品制剂盐酸肾上腺素注射液 10ml10 支 594,0594061%470.30%\n8 化学药品制剂盐奈福泮注射液 1ml10 支 529,702971%148.51%\n9 化学药品制剂甘露醇注射液 250ml 瓶 1014,8514851%148.51%\n10 化学药品制剂复方溴芬酸铵注射液 2ml*10 支 529,702971%148.51%\n11 医用酒精 500ml 瓶 59,900991%49.50%\n12 医熨用碘伏新洁尔灭消毒剂 5l 其他化学品过氧氢溶液 500ml 瓶 109,9009999%99.01%\n13 有机化学原料乙酸 500ml 瓶 464,3564361%257.43%\n 小计总计开票日期:2023 年 6 月 26 日开具日期:2023 年 6 月 26 日备注:合计¥14376.21¥143.76\n\n 总价:¥8405.93 ¥84.07



4e856d0e841c52c007a271d87ac89c40

Neuron

Primary structure and functional expression of a cyclic nucleotide-activated channel from olfactory neurons.

Glauner, K.S., Mannuzzu, L.M., Gandhi, C.S., and Isacoff, E.Y. (1999). Spectroscopic mapping of voltage sensor movement in the Shaker potassium channel. Nature 402, 813–817. — Gordon, S.E., and Zagotta, W.N. (1995a) A histidine residue associated with the gate of the cyclic nucleotide- activated channels in rod photoreceptors. Neuron 14, 177-186. — Gordon, S.E., Oakley, J.C., Varnum, M.D., and Zagotta, W.N. (1996). Altered ligand specificity by protonation in the ligand binding domain of cyclic nucleotide-gated channels. Biochemistry 35, 3994-4001. — Gordon, S.E., Varnum, M.D., and Zagotta, W.N. (1997). Direct interaction between amino- and carboxyl-terminal domains of cyclic nucleotide-gated channels. Neuron 19, 431-441. —

Fluorescence Quenching

Quenching by iodide or thallium ion involves a collisional quenching mechanism that can be described by the modified Stem-Volmer equation:

\[F_0 = \frac{[c]^{x}}{K_s + [Q]}\]

in which F and F$_o$ are fluorescence intensity with and without quencher, respectively; K$_s$ is the constant quenching; and [Q] is the concentration of the quencher (Lehner, 1971; Lakowicz, 1999).

The steady-state fluorescence signal from the patch is modeled as from two fluorophore populations, attached to those bound nonspecifically to the membrane.

Fluorescent can be described as: \begin{equation} F_{0} - F = f(1-K_q) \end{equation}

where K$\textsubscript{n}$ and K$\textsubscript{o}$ are quenching constants for channel-attached fluoresphores and nonspecifically bound fluorphores, respectively, and f is fraction of fluorpohres on the channels. K$\textsubscript{n}$ was determined by measuring quenching unjjected oocytes expressing cysteineylesterase channels or oxyctes expressing cysyteline channels into solutions containing 0.4 $\mu$M in the weakly and strongly bound states. Fluoresence intensity was then measured using a flurorometer.

We thank Heidi Utsugi, Kevin Black, and Gay Sheridan for technical assistance; Kimberly Matulef and Michael Varnum for making the cDNA constructs; and Paulette Bruner from the Keck Imaging Center for help confocal microscopy. We thank Richard Aldrich, Tom Maddendorff, and Michael Varnum for comments on the manuscript. We thank Galen Flynn, Matthew Trudeau, Kimberly Matulef, and J.P. Johnson Jr., for helpful discussions. This work was supported by the Howard Hughes Medical Institute and a grant from the National Eye Institute (EY0329) to W.N.Z.

Received August 3, 2000; revised September 11, 2000.

References Brown, R.L., Snow, S.D., and Haley T.L. (1998). Movement gating machinery during the activation of rod cyclic nucleotide-gated channels. Biophys. J. 75, 75S-114S. Cha, S., Snyder, G.E., Selvin, P.R., and Bezanilla, F. (1999). Atomic scale movement of the voltage-sensing region in a potassium channel measured via spectroscopy. Nature 402, 808-813. Dhali' an, RS., Yau, KW., Schrader, KA., and Reed, RR. (1990). Voltage gated ion channels. Annu. Rev. Physiol. 52, 17-34. Jan, LY., and Jan, YN. (1990). A superfamily of ion channels. Nature 345, 672. Kaupp, UB., Niidome, Tanabe, Terada, Bonigk, Stummer, Cook, Kangawa, Matsuo, Hirose, et al. (1989). Primary structure and functional expression of complementary DNA for mouse retinal photoreceptor cell guanylate cyclase-coupled channels. Nature 342, 762-766. Lakowicz, J. (1999). Principle of Fluorescence Spectroscopy, Second Edition (New York and London: Plenum Press). Lehrer, SS. (1971). Solvate perturbation protein fluorescence. The quenching of the hypofluorite fluorescence of model compounds and of lysozyme iodide. Biochem. J. 105, 235-249. Ludwig, J., Margailt, T., Eiemanm, Lancet, and Kaupp, UB. (1990). Primary structure of cAMP- activated ion channels and sensory transduction in olfactory receptors. FEBS Lett. 270, 24-29. Macle'an, JJ., Chrin, LR., and Berger, CL. (2000). Dynamics at Lys-553 of the actomyosin interface in the weakly and strongly bound states. Biophys. J. 78, 1441-1448. Mannuzzu, IM., Moronne, MM., and Isaccoff, FY. (1996). Direct physical rearrangement underlying potassiam gating science. 217, 213-216. Matulef, K., Flyne, GE., and Zagotta, WN. (1999). Molecular arrangements in the ligand-binding domain of cyclic nucleotide-gated channels. Neuron 24, 443-452. Paoletti, P., Young, EC., and Siegelbaum, SA. (1999). C-linker of cyclic nucleotide-gated channels controls coupling of ligand binding to channel gating. Gen. J.Gen. PhysioL. 113, 17-34. Sigworth, FWJ. (1994). Voltage gating of ion channels. Q.Rev.Biophys. 27, 1-40. Yau, K.W., and Baylor, DA. (1989). Cyclic GMP-actived conductance of retinal photoreceptor cells. Annu. Rev



9e568720e8b35f4aa0352ae15b5cccac

第 4 页

心(心字底):忘 广(广字旁):席 却(单耳旁)

  1. 写近义词。

  2. 写反义词。

  3. 填量词。

  4. 词语搭配。

  5. 写表示动作的词。

  6. 照样子,写词语。

二 背诵积累

春晓

夜来 声 , 。



601f4a980a403ad2f8a94332dfa33e57

项目部院内应设置三根旗杆,项目经理部应设置面积不少于 40m²一线工人业余学校 ; 室内张贴安全质量方面的宣传标语及教学组织机构图 .b. 室内地面铺设地砖安装空调并配备 30 张以上凳椅 2.0m×1.8m 黑板粉笔黑板擦等教学设备如图 1.5 所示医疗卫生室面积不小干 12㎡地面铺地砖安装空凋并配有专职医务人员药品架等档案资料室内部积不小于 40m²门窗全配齐有空调消防设各并有合理的防潮措施项目经理部应对监理工程师提供两间房间用于现场办公居住每问面积不小千 15m²项目经理部门口标识标牌建设符合要求①工程概况告示牌规格不小干 2.51.8m 镀锌铁皮白底红字红边标题为宋体正文为防宋体内容为合同段工程简介包括工程概況开竣工日期建设单位施工单位设计单住及质量廉政监督举报电话 2. 施工平面示意图为规校不小干 2.51.8m 镀锌铁皮白底红字红边标题为宋体施术平面示意图和告示牌应设立于项目部及其醒目位置 3. 项目经理部门口设置项目经理部名牌规格不小干 2*0.35m 白底黑字字体均为楷体会议室标识标牌建设满足要求(室内布置工程总体布局图施工组细机购图质星保征体系图安会委员会机构图安全生产保证体系图形象进度图晴雨表标牌等内容挂图应不易受潮变形采取消框装裱上墙制作耍美观协调)各职能部门办公室内标识标牌建设满足要求 满足 要求 宣传和文明施工的标识标牌建设满足要求 满足 要求 项目经理部前前进便两侧设置量图表主要 包括公司简史 施工平 面 示意 等 均采用镀 锌铁 板制 成 满足 要求 符合 设计



9da832206762df5d880d47fbaf925fdc

表格

检测项目 单位
pH 值 无量纲
全氮 % %
有机质 g/kg g/kg
总磷 mg/kg mg/kg
石油烃 (C10-C40)mg/kg mg/kg
钡 mg/kg mg/kg
锶 mg/kg mg/kg
铬 mg/kg mg/kg
锌 mg/kg mg/kg
水分 % %

注:

  • ND 表示低于检出限,未检出,
  • 括号为检出限 .

T1-T4 标准值表

GB36600-2018 第一类用地筛选评价

监测值 第一类用地筛选值评价
T1 /
T2 /
T3 /
T4 /

GB15618-2018 筛选用评价

监测值 标准值
T1 /
T2 /
T3 /
T4 /


efb06bf12273a155a770f02fa54f7dc4

目录

1 综合说明

项目概述

京能电力阳曲县 500MWp 风光储一体发电项目可行性研究报告目录

  • 1 综合说明
    • 项目总体概述
      • 太阳能及风能资源概括
        • 工程地质依据
          • 设计任务与建设规模
            • 系统总体方案设计及发电量计算
              • 光伏系统总体设计方案及发电量计算
                • 发电单元系统设计
                  • 集电线路设计
                    • 土建工程
                      • 施工组织设计
                        • 生态规划方案
                          • 工程消防设计
                            • 劳动安全与工业卫生
                              • 环境保护与水土保持设计
                                • 工程管理设计
                                  • 结论
                                    • 节能分析
                                      • 建设地点
                                        • 主体建筑物
                                          • 水源条件
                                            • 交通条件
                                              • 社会经济状况
                                                • 自然环境条件
                                                  • 技术经济指标
                                                    • 可研结论
                                                      • 总结
                                                        • 合同能源管理模式
                                                          • 项目建设周期
                                                            • 运营期财务评价
                                                              • 回收期
                                                                • 敏感性分析
                                                                  • 利润分配表
                                                                    • 收益率
                                                                      • 成本费用估算
                                                                        • 年度现金流量表
                                                                          • 资本金现金流量图
                                                                            • 清洁生产审核报告
                                                                              • 审核意见书
                                                                                • 审查通过文件
                                                                                  • 审批部门名称

注意:由于图像分辨率限制以及可能存在的干扰因素(如文字重叠或不清晰),无法保证提取的所有信息都是准确无误的。此外,请确保提供的图像质量良好且清晰可读以获得最佳结果。



136438a67408204c7c3f44fc933f4921

初中必刷题 英语九年级译林牛津版 Period 4 Integrated skills & Study skills

刷基础

I 基础训练

形式,每空一词

1. [2023 江苏盐城期中] 12 animal signs appear in a __(固定的)order and the cycle repeats every 12 years.

2. [2023 江苏无锡期中] Sarah is so bright, cheerful that all of us would like to make friends with her.

3. [2022 广西柳州中考] The school __(日历)tells us date of the school-leavers' party.

4. When my grandmother saw me, gradually a smile __(出现)on her face.

5. His experiences __(塑造)his ideas during the war.

单项选择

6. There are 54 students in their class __, and half of them boys A.in all B.in brief C.in case D.in place

7. Her many years of service to the company won high praise from society. A.modest B.suitable C.fixed D.lovely

8.-Is Mr Wu's speech broadcast? -Yes, it is very interesting. A.live; alive B.lively; alive C.alive; living D.live; lively

9.The traditional Chinese lunar calendar divides into 24 solar terms a year A.divides ;into B.mixes with C.translates into D.covers

10.According to design, there will be long immersed tunnel as part of bridge when it built Now large number people working on new bridge They ready for eight years finish work



401208f3828508e6968879cc6a613110

目录 \n 一、投标函及投标函附录</ref>



66af782f173069f59a19e6600e40b4e3

普通类计划表

序号 学院(专业方向)代码及名称
56 广告学(只招参加了该校三位一体综合评价招生并获得入围资格的考生,具体规则详见该学校章程)
57 历史学(只招参加了该校三位一体综合评价招生并获得入围资格的考生,具体规则详见该学校章程)
58 数字与应用数学(只招参加了该校三位一体综合评价招生并获得入围资格的考生,具体规则详见该学校章程)
59 统计学(只招参加了该校三位一体综合评价招生并获得入围资格的考生,具体规则详见该学校章程)
60 物理生物技术科学工程化学环境科学与工程食品科学与工程城乡规划质量与安全动物工轻化设计与工程公共管理材料类含行政管理土地资源管理和文化产业管理等专业)

浙江理工大学省重点建设高校杭州 400 人

化学类含化学应用化学材料化学化工纺织非织造材料与工程纤维高分子材料与工程分沙校区)

工商管理类含工商管理市场营销人力资源管理国际商务旅游管理酒店管理)

纤维设计与工程含物理化学子材料与工程分沙校区)

公共管理类含行政管理土地资源管理文化产业管理等专业)

材料类含化学分沙校区含高分子材料与工程纤维高分子材料与工程)

轻化设计与工程含物理化学子材料与工程分沙校区)

商务管理类含会计财务管理电子商务物流管理旅游管理酒店管理)

计算机类信息管理信息系统计算机软件工程信息安全专业)

生物医学工程类含生物学物理学电子信息科学与技术自动化测控技术与仪器电子信息技术通信工程专业)

新能源材料器件含物理学化学生化材科工程新能源材料与器件)

飞行器制造工程航空宇航科学与技术飞行控制导航制导雷达探测系统飞机发动机维修机械设计制造及其自动化过程装备与控制工程机械车辆运用工程汽车服务工程工业设计产品设计数字媒体艺术视觉传达设计服装设计与工艺包装工程印刷工程广告学广播电视编导摄影动画表演播音主持艺术戏剧影视文学音乐舞蹈美术书法中国画油画雕塑版画水彩粉画漆艺陶艺插图漫画动漫游戏新媒体艺术数字媒体艺术网络与新媒体智能科学技术数据科学与大数据技术人工智能机器人工程物联网工程区块链工程技术经济贸易金融投资保险精算数理统计经济学财政税收法学社会工作汉语言文学新闻传播学历史哲学地理政治教育心理学体育运动训练武术民族传统体育休闲体育康复治疗学中医骨伤针灸推拿护理助产学临床医学口腔医学预防医学药学中药制药药物制剂海洋药学法医毒物分析检验卫生监督食品安全营养与健康听力与言语康复学眼视光学精神医学儿科学影像医学核医学麻醉学急诊医学全科医学妇幼保健医学老年病医学肿瘤学精神病学职业卫生与环境卫生放射医学皮肤性病学感染性疾病血液内科呼吸内科消化内科心血管内科肾内科内分泌神经内科风湿免疫内科胸心外科泌尿外科肝胆胰脾外科肛肠血管甲状腺乳腺头颈外周血管介入心脏大血管介入脑血管介入微创介入整形美容烧伤创伤急救危重急症救治重症监护室 ICU 体能训练军事五项射击射箭摔跤柔道拳击跆拳道散打空手道跳伞潜水帆船皮划艇定向越野攀岩蹦极滑翔滑雪登山马拉松铁人三项自行车山地车公路赛车场地赛卡丁车摩托车 F1 方程式摩托艇冲浪航海模型无线电飞机制作无人机操控模拟飞行航天员选拔空间生命科学研究航空航天科技研究深海探索宇宙航行地球观测卫星遥感测绘气象预报地震监测火山爆发洪水干旱冰川融化气候变化全球变暖温室效应酸雨雾霾 PM2.5 臭氧层破坏物种灭绝生态平衡环保节能低碳生活绿色出行垃圾分类回收废物利用循环再用节约用水用电珍惜粮食反对浪费光盘行动减少一次性塑料餐具纸巾餐盒购物袋外卖打包筷子吸管牙签剃须刀片电池充电器电源插座空调冰箱洗衣机电视电脑手机平板打印机复印扫描传真机投影仪音响耳机麦克风路由器开关线缆电线电缆光纤宽带有线无线 WIFI 蓝牙红外遥控智能家居安防监控摄像头门禁考勤对讲机报警器烟雾火警燃气泄漏漏水检测温湿度传感器光照度二氧化碳浓度土壤 PH 值水质硬度电导率溶解氧浊度悬浮颗粒重金属离子微生物细菌病毒农药残留甲醛苯甲醇二甲苯氨氡气 VOCs PM2.5 粉尘噪音振动电磁辐射微波 X 射线伽马射线粒子加速器质谱色谱热成像拉曼激光雷达声呐超声波次声波多普勒频移干涉衍射偏振折射反射透镜棱镜望远镜显微镜三棱镜潜望镜万花筒放大镜凹面凸面球面抛物面柱面锥面菲涅尔螺纹螺旋圆弧椭圆双曲正弦余弦半圆形矩形三角形梯形平行四边形菱形六角星八角十二面二十四面二十面三十面四十面五十面六十面八十面一百零一面二百一十面三百六十面一千七百九十五面三千五百二十五面五千六百十一面一万两千两百一十六面一万五千一百一十四面一万八千一百一十七面两万一千一百一十九面两万四千一百二十面两万七千一百二十三面三万一千一百二十四面三万四千一百二十五面三万七千一百二十六面四万一千一百二十八面四万四千一百二十九面四万七千一百三十面五万一千一百三十一面五万四千一百三十二面五万七千一百三十三面六万一千一百三十四面六万四千一百三十五面六万七千一百三十六面七万一千一百三十七面七万四千一百三十八面七万七千一百三十九面八万一千一百四十面八万四千一百四十一名八万七千一百四十二名九万一千一百四十三名九万四千一百四十四名九万七千一百四十五名十万一千一百四十六名十万四千一百四十七名十万七千一百四十八名十一万一千一百四十九名十一万四千一百五十名十一万七千一百五十一名十二万一千一百五十二名十二万四千一百五十三名十二万七千一百五十四名十三万一千一百五十五名十三万四千一百五十六名十三万七千一百五十七名十四万一千一百五十八名十四万四千一百五十九名十四万七千一百六十名十五万一千一百六十一名十五万四千一百六十二名十五万七千一百六十三名



e4367f3e3added923020bbdea6a46f3d

普通类招生计划

学院 [专业(专业方向)代码] 选科目要求 招生学制 学费参考
商学院 001 需求高考成绩不低予特殊类型招录控制线,英语成绩不低于 120 分 四年 港币 145000 元 / 年
工程学院(工程)类别 004 物理化生物或化学物理 四年 港币 145000 元 / 年

注释 :

  • 所有课程均需通过香港城市大学之本科内地招生网站进行查询详细信息及申请程序。
  • 关于奖学金的具体要求,请参阅相关网页或者微信公众号的信息。
  • 具体的专业名称以及其详细的描述请访问上述链接获取更多信息。


f9c45fce4b39469f6c72a6e249753ed4

第一页

班主任签字评语

你好淡开朗,正直诚恳,在校尊重老师,团结同学,与人为善认真负责主动性强学习勤奋踏实但偶尔还需加强 .

学生自我评价

无记录

家长留言

无记录

下学期开学通知

下学期于 2025 年 9 月 1 日放寒假,于 2 月 7 日正式上课。

第二页

品行表现在

  • 能说出家庭的主要成员及职业情况,并了解国内外大事。
  • 每天能按时起床并听从长辈教导。
  • 进步不大,不善于关心他人卫生,不爱整洁,乱丢垃圾等现象时有发生。
  • 自己穿衣洗漱整理书包,学着料理房间,模仿父母做些小事。
  • 注意观察大自然的变化,能在生活中发现一些有趣的事物,喜爱艺术作品。
  • 科目成绩进步方面:

    • 数学 A A A
    • 英语 A A A
    • 音乐 A A A
    • 美术 A A A
    • 种植科学 A A A

小后希望进行的方向

学科(课程)学习成绩等级科目平时期末总分科平时期末总分语文数学英语音乐品德社会体育体操舞蹈朗诵演讲努力用自己语言回答问题按老师的要求阅读课外书籍写小制作。



beabdbef9880cda581e35584efbbe457

流动资金估算表

建设期

序号 项目 单位 合计
1 资本金 万元 5270
2 自有资金增加额 万 / 元 -4896

运营期

序号 项目 单位 第一年 第二年 第三年 第四年 第五年 第六年 第七年 第八年 第九年 第十年 第十一年 第十二年 第十三年 第十四年 第十五年 第十六年 第十七年 第十八年 第十九年 第二十年 第二十一年 第二十二年 第二十三年 第二十四年 第二十五年                                                                                                                                                                                                                                                                                                                                                                                              
1 利息支出 万元 419 419 419 419 419 419 419 419 419 419 419 419 419 419 419 419 419 419 419 419 419 419 419 419 419 419 419                                                                                                                                                                                                                                                                                                                                                                                          
2 税金及附加 万元 977 966 966 966 966 966 966 966 966 966 961 961 961 961 961 961 961 961 961 961 961 961 961 961 961 961 961                                                                                                                                                                                                                                                                                                                                                                                          
3 固定资产折旧费 万元 4,270 29 0 0 0 0 0 0 0 0 0 0 0 0 0 0 0 0 0 0 0 0 0 0 0 0 0 0 0 0 0 0 0 0 0 0 0 0 0 0 0 0 0 0 0 0 0 0 0 0 0 0 0 0 0 0 0 0 0 0 0 0 0 0 0 0 0 0 0 0 0 0 0 0 0 0 0 0 0 0 0 0 0 0 0 0 0 0 0 0 0 0 0 0 0 0 0 0 0 0 0 0 0 0 0 0 0 0 0 0 0 0 0 0 0 0 0 0 0 0 0 0 0 0 0 0 0 0 0 0 0 0 0 0 0 0 0 0 0 0 0 0 0 0 0 0 0 0 0 0 0 0 0 0 0 0 0 0 0 0 0 0 0 0 0 0 0 0 0 0 0 0 0 0 0 0 0 0 0 0 0 0 0 0 0 0 0 0 0 0 0 0 0 0 0 0 0 0 0 0 0 0 0 0 0 0 0 0 0 0 0 0 0 0 0 0


9a07e779217ab61689c6ee235137c1c8

危险化学品储存配存应符合表 A.1 的要求。

| 化学品危险和危害种类 | 爆炸物 | 易燃气体、气溶胶 | 氧化性气体(不燃) | 加压液体 | 自反应物质和混合物 | 自热物质和混合物 | 遇水放出易燃气体的物质和混合物 | 液体固体无机氧化剂有机过氧物 | | — | — | — | — | — | — | — | — | — |

| 类别 | × | √ | × | × | × | × | × | 分离× | | — | — | — | — | — | — | — | — | — |

| 类型 | × | × | × | × | × | × | × | 清晰× | | — | — | — | — | — | — | — | — | —



5b3bc73d4f09af2fa68d2e6b7ba01d39

附件 1

单位 总数 职业教育界人士 党委政府部门及关心支持职业教育事业的经济界人士
石家庄 10 1 2
承德 6 1 1
张家口 5 1 1
秦皇岛 6 2 1
唐山 9 3 3
廊坊 6 1 2
保定 9 1 2
沧州 9 3 3
衡水 5 1 2
邢台 7 1 2
邯郸 8 1 1
定州 3 1 1
辛集 3 1 1
雄安新区 3 1 1
省直 26 4 19
合计 115 4 19

注意:此表格可能需要进行一些调整以适应中文排版规则。



2dd4a79a600dfa7e2049349bab6bfd1b

发货清单

部件名称:

  • 二次热风道

清单编号 :

  • 33V0878FM
  • 33V0878MX

行号 | 图号 | 名称规格 | 数量 | 发货号 | 包装示标 | 毛重 (KG) | 材料 | 备注 |

22 1-28   管子  
23 1-34   管子  
24 1-42   弯头  
25 1-43   弯头  
26 1-44   直发线  
27 1-46   斜发线  
28 2-1   矩形管道  
29 2-2   方箱  
30 2-3   斜管箱  
31 2-4   矩形弯头  
32 2-5   矩形管道  
33 2-6   圆接线  
34 2-7   管子  
35 2-9   管子  
36 2-11   吊杆  
37 1-30-6   吊杆  
38 1-31-6   吊杆  
39 1-19-2   横钢  
40 1-38   横钢  
41 1-39   横钢  
42 2-12-1   横钢  
第 2 共 3 页        


17d4e69ad82aa8bb458fd5e2b43fa808

销售货物或者提供应税劳务、服务清单 \n 购买方名称:\n 销售方名称:\n 所属增值税专用发票代码:4200221130\n 号码:10224184\n 共 3 页第 1 页

序号 货物(或服务)名称 规格型号 单位 数量 单价 金额 税率 税额
1 塑料制品*电烙 90 度头 110 35 116.02 元 4,070.70 元 13% 530.97 元

…(省略部分)

序号 货物(或服务)名称 规格型号 单位 数量 单价 金额 税率 税额
24 塑料制品电烙异径三通 16/110 4 283.89 元 1,135.56 元 13% 148.05 元
25 塑料制品电烙异径三通 75/50 2 290.09 元 580.18 元 13% 75.43 元

总计:

小计:76346.90 元

合计:9925.10 元



b858b6b2ba9daf35c12008a434e7af67

项目部驻地建设检查表

| 序号 | 检查项 目 | 检 查 内 容 | 施工单位自检情况 | 驻 地 建 设 情况 | | — | — | — | — | — |

机构设置 项目经理部应设相应的职能部门。 满足要求 符合要求 特别重要
         
         
         
         
         
         
         
         
         
         
         
         
         
         
         
         
         
         
         
         
         
         
         
         
         
         
         
         
         
         
         
         
         
         
         
         
         
         
         
         
         
         
         
         
         
         
         
         
         
         
         
         
         
         
         
         
         
         
         
         
         
         
         
         
         
         
         
         
         
         
         
         
         
         
         
         
         
         
         
         
         
         
         
         
         
         
         
         
         
         
         
         
         
         
         
         
         
         
         
         
         
         
         
         
         
         
         
         
         
         
         
         
         
         
         
         
         
         
         
         
         
         
         
         
         
         
         
         


02aaaa87fa3486323f0ed26304df95ef

全国国有企业 \n 范围:全行业 \ntable \n| 范围 | 全国国有企业 | | — | — | | 大型企业 | 一、盈利能力状况

净资产收益率(%) 12.1 9.0 6.0 -9.3
总资产报酬率(%) 7.9 5.9 4.1 -8.2
销售(营业)利润率(%) 17.2 11.1 6.3 -10.8
盈余现金保障倍数 6.8 3.3 1.5 -3.2
资本利润利率(%) 13.5 9.7 6.3 -3.9
成本费用利润率(%) 12.7 9.5 6.8 2.1 -5.3

二、资产负债情况

总负债与权益比(%) 48.7 53.7 63.7 73.7 88.7
已获利息倍数 5.6 4.2 2.9 0.8 -2.0
速动比率(%) 141.8 105.1 81.9 64.3 43.6
现金流动负债比率(%) 23.0 16.2 12.6 -7.0 -13.6
带息负债比率(%) 19.6 31.1 46.2 65.5 78.5
或有负债比例(%) 0.2 1.6 4.8 11.6 17.6

三、经营增长状况

销售额增长率(%) 28.7 21.9 16.6 4.2 -7.6
销售收入增长率(%) 31.1 24.0 18.9 5.4 -3.7
总资产增长率(%) 17.7 14.2 12.6 0.8 -0.8
研发经费投入强度(%) 3.6 2.6 2.1 1.8 0.8

五、补充资料

存货周转次数 16.2 8.3 2.3 0.4 0.2
两金占流动资产比重(%) 56.1 46.2 36.7 91.8 98.7
经济增加值率(%) 6.7 2.9 -2.0 -3.2 -11.2
EBITDA 率(%) 7.1 3.8 1.5 0.8 -1.7
资本积累率(%) 22.3 15.4 8.2 2.1 -2.6

四、债务风险状况

资产负债率(%) 已获得利息指数 债务风险状况 或有负债比例(%) 总资产增长率(%) 销售额增长率(%) EBITDA 率(%) 经济附加值率(%) 存货周转次数 两金占流动资产比重(%) 成本费总额占比总收入百分比(%) 发展经济效益强度(次) 补充资料 资产负债率(%) 已获取利益指数 速动比率(%) 现金流动负债比率(%) 带息负债比率(%)


8fa57efda3baec72844df636c565ec85

第 35 章 近似算法

659. GREEDY-SET-COVER, 其实现贪婪算法可以返回一个比最优集合覆盖大不了太多的集合覆盖。为了方便起见,在本书中我们用 ( H(d) ) 表示第 ( d ) 级调和数,并定义 ( H(0)=0 ) 。下面证明上述贪心算法可以返回一个最优化集合理论的大不了一定数量的集合覆盖。\n\n## 定理分析 \n\n 接下来我们将展示如何通过该算法实现多项式时间运行。首先我们需要知道的是,对于每个由该算法选择的子集赋予代价值并将其平均分配给被最初覆盖的元素,然后利用这些代价来导出一个最佳组合覆盖大小之间的关系。设 ( S_{i} ) 表示由 GREEDY-SET-COVER 选出的第一个子集;加入 S 时会产生单位代价。这个选择产生的代价会被均匀地分发给首次被覆盖的元素。对 x∈X,设置 c(_{s}) 代表分配给元素 x 的代价值。每次只分配一次代价值,即当它第一次被 S 覆盖的时候。因此有:

[ c_s = \frac{ S }{ S - (S ∪ S_2 …∪ S_i) }

]

在每一步骤中都要分配一个单位的代价,所以,

[ C =∑_{x ∈ X }^{ }] 对于每一个属于 X 的所有元素至少在一个最好的覆盖 C 中的一个集合内,那么,

[ ∑{ s ∈ C }^{ }\geq ∑{ x ∈ X }^{ }

]

余下的关键在于下述不等式,稍后我们会对其进行证明。针对任意的集合 S ,设定 u 是所有未被 S 覆盖的元素个数。则有:

[ ∑_{ i=1 }^{ k }u_k≤H(S)

]

基于不等式(35.4)和(35.8),可得:

[ C \leq max( S ;S∈F)\cdot H(max( S ;S∈F)

)

因为上界成立,则定理也成立了。

下面来证明不等式(35.7)。对任一集合 F 和 i=1,2,…,k 设定 :

[ u_i= S-(S ∪ S_2…∪ S_i) 最小值使得 S 内的每个剩余未被 S 所选中的元素最少的数量。设定 K 满足 u_k=0 最小的未被 S,S_2,…,S_K 所选取并且且 S 内部有一个元素首次被 S 所覆盖,于是存在一组 S_1,S_2,…,S_K 其中一个能被 S 覆盖,并且 S 内部有一个元素首次被 S 所覆盖,于是存在一组 S_1,S_2,…,S_K 其中一个是能够被 S 覆盖,并且 S 内部有一个元素首次被 S 所覆盖,于是存在一组 S_1,S_2,…,S_K 其中一个是能够被 S 覆盖,并且 S 内部有一个元素首次被 S 所覆盖,于是存在一组 S_1,S_2,…,S_K 其中一个是能够被 S 覆盖,并且 S 内部有一个元素首次被 S 所覆盖,于是存在一组 S_1,S_2,…,S_K 其中一个是能够被 S 覆盖,并且 S 内部有一个元素首次被 S 所覆盖,于是存在一组 S_1,S_2,…,S_K 其中一个是能够被 S 覆盖,并且 S 内部有一个元素首次被 S 所覆盖,于是存在一组 S_1,S_2,…,S_K 其中一个是能够被 S 覆盖,并且 S 内部有一个元素首次被 S 所覆盖,于是存在一组 S_1,S_2,…,S_K 其中一个是能够被 S 覆盖,并且 S 内部有一个元素首次被 S 所覆盖,于是存在一组 S_1,S_2,…,S_K 其中一个是能够被 S 覆盖,并且 S 内部有一个元素首次被 S 所覆盖,于是存在一组 S_1,S_2,…,S_K 其中一个是能够被 S 覆盖,并且 S 内部有一个元素首次被 S 所覆盖,于是存在一组 S_1,S_2,…,S_K 其中一个是能够被 S 覆盖,并且 S 内部有一个元素首次被 S 所覆盖,于是存在一组 S_1,S_2,…,S_K 其中一个是能够被 S 覆盖,并且 S 内部有一个元素首次被 S 所覆盖,于是存在一组 S_1,S_2,…,S_K 其中一个是能够被 S 覆盖,并且 S 内部有一个元素首次被 S 所覆盖,于是存在一组 S_1,S_2,…,S_K 其中一个是能够被 S 覆盖,并且 S 内部有一个元素首次被 S 所覆盖,于是存在一组 S_1,S_2,…,S_K 其中一个是能够被 S 覆盖,并且 S 内部有一个元素首次被 S 所覆盖,于是存在一组 S_1,S_2,…,S_K 其中一个是能够被 S 覆盖,并且 S 内部有一个元素首次被 S 所覆盖,于是存在一组 S_1,S_2,…,S_K 其中一个是能够被 S 覆盖,并且 S 内部有一个元素首次被 S 所覆盖,于是存在一组 S_1,S_2,…,S_K 其中一个是能够被 S 覆盖,并且 S 内部有一个元素首次被 S 所覆盖,于是存在一组 S_1,S_2,…,S_K 其中一个是能够被 S 覆盖,并且 S 内部有一个元素首次被 S 所覆盖,于是存在一组 S_1,S_2,…,S_K 其中一个是能够被 S 覆盖,并且 S 内部有一个元素首次被 S 所覆盖,于是存在一组 S_1,S_2,…,S_K 其中一个是能够被 S 覆盖,并且 S 内部有一个元素首次被 S 所覆盖,于是存在一组 S_1,S_2,…,S_K 其中一个是能够被 S 覆盖,并且 S 内部有一个元素首次被 S 所覆盖,于是存在一组 S_1,S_2,…,S_K 其中一个是能够被 S 覆盖,并且 S 内部有一个元素首次被 S 所覆盖,于是存在一组 S_1,S_2,…,S_K 其中一个是能够被 S 覆盖,并且 S 内部有一个元素首次被 S 所覆盖,于是存在一组 S_1,S_2,…,S_K 其中一个是能够被 S 覆盖,并且 S 内部有一个元素首次被 S 所覆盖,于是存在一组 S_1,S_2,…,S_K 其中一个是能够被 S 覆盖,并且 S 内部有一个元素首次被 S 所覆盖,于是存在一组 S_1,S_2,…,S_K 其中一个是能够被 S 覆盖,并且 S 内部有一个元素首次被 S 所覆盖,于是存在一组 S_1,S_2,…,S_K 其中一个是能够被 S 覆盖,并且 S 内部有一个元素首次被 S 所覆盖,于是存在一组 S_1,S_2,…,S_K 其中一个是能够被 S 覆盖,并且 S 内部有一个元素首次被 S 所覆盖,于是存在一组 S_1,S_2,…,S_K 其中一个是能够被 S 覆盖,并且 S 内部有一个元素首次被 S 所


c05a579faf766f2c3179f0537e6a3580

第十章 草根效力

让我们从宏观层面分析一个动态张力的例子。

普锐斯用一种独特的设计流程至少已有十年了。这种设计理念鲜有其他金丰田不是因为他们根本没想到去竞争设计战略的设计流车商采用过 —— 就诞生于上世纪 80 年代末期,在东京、加利福尼亚和其他全球三大汽车中心之外寻求创新。丰田在美国市场环境的竞争压力下被迫自省 —— 在一个越来越注重设计的时代里,他们宁可选择冒险而不是固步自封。

1995 年,首席工程师内山武司(Takeshi Uchiyamada)对设计师们提交的一批设计方案并不满意。它们都配不上普锐斯这个名字。对于他来说,“普锐斯”的含义亦即引领 21 世纪的概念车,并且也恰好符合他的要求:“我们必须等待新的方案出现。”然而这些提案都不太吸引人,也不像丰田应有的风格。

于是内山武司决定组织一次内部竞赛来激发团队们的创造力。这个想法得到了总公司的支持并开始实施。参与比赛的是 7 支队伍:

  • 丰田自动织机工厂设计部;
  • 丰田设计部;
  • 汽车开发Ⅱ部;
  • 丰田加州 Calty 研发中心;
  • 日本设计工作室;
  • 以及欧洲设计工室。

最开始的决断集中在划定范围上。内山武司收到了超过二十个草图构想,但最初的设想只有一个典型的欧式两厢车型(乘客舱与发动机仓)。后来经过激烈的讨论后,大家意识到这并不是唯一的可能方向。最终,来自不同地区的七个小组各自提出了自己的独特解决方案。

为了确保公司内的每个人都能参与到这次挑战之中,内山武司拒绝让外部设计工作室加入进来。尽管最初非常失望,但他还是说:“我们必须自己完成这样一个艰巨的任务。”

结果证明这是一个明智的选择。广泛的创意被激发出来,而最后的结果却出乎所有人的意料。虽然初期提出的概念超过了 20 种不同的类型,但是通过深入挖掘和筛选之后,只有少数几个真正具有潜力的想法得以保留下来。其中一些最具代表性的作品包括:

  • 日本 :经典的欧式风格 —— 两厢车(乘客舱,无后备箱)
  • 美国 :四门轿车,配备大行李箱空间
  • 德国 :紧凑型掀背式旅行车,拥有宽敞的空间布局
  • 英国 :小型跑车,兼顾运动性能和舒适性
  • 法国 :豪华 SUV,融合现代科技元素和优雅外观
  • 意大利 :双座敞篷小跑车,追求极致驾驶体验
  • 瑞典 :混合动力城市用车,节能环保理念贯穿始终

经过一系列严格的评审过程,最终由日本组所提出的一款名为“Prius”的原型脱颖而出。它不仅满足了当时人们对环保节能的需求,而且凭借其出色的操控性和乘坐舒适度赢得了市场的广泛认可。这款产品成功地打破了传统观念束缚,成为了一款真正的跨时代之作。如今,普锐斯已经在全球范围内销售数百万辆,并获得了无数赞誉和奖项。它的成功充分说明了一个道理:只要敢于尝试新事物并且勇于接受失败教训,那么任何人都有可能创造出属于自己的奇迹!



37c58a088759896d8592f9324d22f817

第 8 章 捕捉无形价值

艺术的本质 ? 第一,它必须是不可握的 ; 第二,它必须是可模仿的 .

有力的解决方案往往是感性的、富有感情的 ." 我不知道是什么" —— 缺少的就是这说不清道不明的东西 . 使领袖人物成为领袖的正是这种无法界定难以定义的东西我们疑惑为什么我们的竞争对手会大大领先 —— 他们卖的东西就是轰动近利 . 我们疑惑为何我们的竞争对手会大大领先 —— 他们卖的东西并没有本质的不同 .

交易的目光太过短浅 . 我们没有发现顾客真正正在购买什么 . 过分关注那些有形的交换物,被结果遮蔽了双眼,忽略了其中的过程和体验,因此也就忽视了顾客真正需要的东西 —— 很明显,他们真正需要的并非某个产品或某种服务 .

让某种产品脱颖而出的是那些无形的东西 . 它们远远超越了交易、产品和服务流程层面 . 如果你能捕捉到人们真正在乎东西,就能找到有力的价值元素 . 雷克萨斯卖的不是豪华车而是一个安全庇护所一个安静世外桃源迪斯尼不是一个运营主题公园而出售魔法幻梦星巴克咖啡不仅仅只是咖啡而且为人提供个性化的表达空间每日仪式



8e27ec382e29960aee78576a2965904c

奔腾处理器的性能监视机制

奔腾处理器是第一个引入性能监视机制的 IA 处理器,该机制包括两个 40 位的性能计数器 (PerfCtI0 和 PerfCtl1)、一个 32 位名为 CESR(Counter Event Select Register) 的控制寄存器以及处理器上的 PMO/BP0 和 PM1/BN1 管脚。 CESR 寄存器用于选择要监测的事件和配置监视选项 ; PMO/BP0 和 PM1/BN1 管脚向外部硬件通知计数状态(各对应一个计数器 ); Perfcitl 和 Cesr 都是 MSR, 可以通过 RDMSR 和 WRMSR 指令来访问下面我们以 cesr 的形式线索介绍奔腾处理嚣的性能监视机制 .

图 5-10 画出了 CESR 的各个各位域 . \begin{figure}[h] \centering \includegraphics[width=8cm]{./images/image.png} \caption{} \label{fig:image} \end{figure}

显然易见 ,CESR 高 16 位和低 16 位的布局是相同 . 低 16 位对应计数器 0, 高 16 位对应回数器 1. 每个部分都包含下而 3 个领域 :

(1)6 位的事件选区域 ES(EventSelect): 用来选择要测量(监性)的事件类型,例如 DATA_READ、DATA_WRITE、CODE_READ 等 .IA 处理器所支持的全部事件类型附录 A 中列出了每种 IA-32 处理器卷 3B 的手册卷 A 中列了出每种 IA-32 手冊卷 3B 的附錄 A 中列出了每種 IA-32 處理器所支持的所有事件類型 .

(2)3 位的计数器控制域 CC(CounterControl): 用来设置计数器选项,其可能值和含义如下 :

  * 000 停止计数 ;

  * 001 当 CPL = 0 或 1 或 2 时对选定的事件计数;

  * 010 当 CPl = 3 对选定的事件计数;

  * 011 不论 CPL 为何值,都对选定的事件计数;

  * lOO 停止计数 ;

明显可见 ,CESR 高 16 位和低 16 位的布局是相同的 . 低 16 位对应计数器 0, 高 16 位对应计数器 1. 每个部分都包含下面 3 个区域 :

  • 6 位的事件选择域 ES(EventSelect): 用来选择要测量(监控)的事件类型,例如 DATA_READ、DATA_WRITE、CODE_READ 等。 IA 处理器所支持的全部事件类型附录 A 中列出了每种 IA-32 处理器手册卷 3B 的附录 A 中列出了每种 IA-32 处理器所支持的所有事件类型。

  • 3 位的计数器控制域 CC(CounterControl): 用来设置计数器选项,其可能值和含义如下:

    • 000: 停止计数;

    • 001: 当 CPL=0 或 1 或 2 时对选定的事件计数;

    • 010: 当 CPL=3 时对选定的事件计数;

    • 011: 不论 CPL 为何值,都对选定的事件计数;

    • 100: 停止计数。



4eae9f095ea2dda60c78d2fab7097c64

以下是识别出的文字:

资产只要持有就能升值

从经济原则看,这未免可笑。反种违背原则的行为大行其道,被认为理所当然。但是泡沫一旦破裂,渴望增值的资产转瞬间变为负资产,不少企业落下一身债务。

你是事后诸葛亮,泡沫破灭后才说风凉话 —— 有人或许这么说。然而,只要你懂得原理原则,只要你持有正确的哲学,

不管出现什么潮流,你都能做出正确判断。

当时京瓷靠多年辛苦积累,已拥有巨额现金存款,许多人劝导我投资不动产。其中还有银行的人,他们见我不知变通”, 还恳切地教我如何赚钱的奥秘。”

但我认为,只把土地从左手转到右手就能赚大钱,天下哪有那样的好事。就算来钱那也是不义之财,来得容易去得快。”因为我就这么想,所以有关投资的建议一概回绝。

“只有额头流汗,靠自己努力赚来的钱才是真正的利润”。我的信念就这么单纯。这来自做人的正确原 理原则,所以我能在巨额暴利的引诱面前,我能告诫自己 “不起贪念”。

心从未有过丝毫动摇。

由此可见即使蒙受损失也必须遵循的哲 学明吃苦甘愿承受的觉悟一一自 己心中有没有这种哲学和觉 悟这就是事业成功与否人生幸福与否的分水岭。“不是因为让担负重要工作集中在工作中有什么资格向公司专车。这事传开之后,一位董事听说了这件事,他问我:“为什么不让总务部派辆车呢?”我说 :

我没有权利占用公司的车辆。如果这样做的话,那么所有员工都可以随便用车了。这样下去会形成一种风气,到时候就无法收拾了。因此,我希望以身作则,给大家树立一个好榜样。"

这位董事听我说完以后,连连点头称赞 :" 您说得对 !" 从此再也没有人提出让我坐公车的要求了。



1d4d080fd3739ad47564c9912d9205b6

财务报告

第一部分 综述及会计政策变更说明

独立组成部分定义:

  • (i) 该组成成分代表一项独立的主要业务或一个主要经营地区;
  • (ii) 该组成部分是对一项独立的主要业务或一个主要经营进行处置计划的一部分;
  • (iii) 该组成部分仅仅是为了再出售而取得的子公司。

关联方

一方控制、共同控制或对另一方施加重大影响,以及两方或多于双方构成关联方。关联方可包括个人企业及其受国家控制不存在其他关系的企业。公司的关联方不包括但不限于 :

(1). 本公司; (2). 子公司的母公司; (3). 与公司同属同一母公司的子公司; (4). 对公司实施共同投资的投资方; (5). 对本公司增加重大影响力的投资方; (6). 合营企业的子公司; (7). 联营企业的子公司; (8). 主要投资者个人与其紧密联系成员组成的公司; (9). 本公司或其他关键管理人员及其家庭成员所管理的公司; (10). 主要投资者个人的关键管理者或其家庭成员控制下的其他企业。

重要会计估计的变化及会计差错更正

财务部自年度发布了《关于修订印发一般企业财务报表的通知》,要求按照新准则执行,并适用于年以后期间的财务表单。对于日存在的持有待售非流动资产处理组终止经营的要求采用未来适用法处理。财政部从年度起发布并开始实行新的政府补助规定,要求采取相同的方法调整现有的政府补贴收入。此外,还进行了修改以适应年之后的时间范围内的财务报表。未发生其他重要的会计变化、估测变动和错误修正事项。税务方面,增值税按销售收入的征收,城市维护建设税按流通税率的征缴,教育费附加按流通税率的征缴,地方教育附加按流通税率的征缴,所得税则按比例计算。帐目注释主要包括资产负债有关项目报表示例等信息。



d09f192b882f4a48c56445a677573464

第十八条 配偶取得上海市常住户口满 3 年的;配偶取得天津市、重庆市和省会(自治区首府)城市、副省级城市常住户口满 2 年的;其他城市常住户口的。\n\n 第二十条 父母身边无子女或者配偶为独生子女的军队转业干部,可以其父母或者配偶父母常住户口所在地安置。未婚的军队转业干部可以到其父母常住户口所在地安置。父母亲双方或一方为军人且长期在边远艰苦地区工作的军队转业干部,可以到父母原籍、入伍地或者父母离退休安置地安置。\n\n 第二十一条 具备下列条件之一的,可以到配偶常住户口所在地安置,也可以到其父母或者配偶父母、本人子女常住户口所在地安置。(一)自主择业的;\n\n(二)在边远艰苦地区或者从事飞行、舰艇工作满 10 年 ;\n\n(三)战时获三等功、平时获二等功以上奖励;\n\n(四)因公致残的。夫妇同为军队干部且同时转业的,可以到



cb496baa7239bce199ab176059f0bc27

过渡态理论 (Transition State Theory, TST)

绝对反应速率理论 (absolute rate theory, ART);

活化络合物理论 (activated complex theory)

化学反应经过一个中间过渡状态,即反应物分子互相接近的过程中先被活化而形成活化络合物。络合物极步稳定,可以变回原来的反应物,也可以分解为产物。

形成活化络合物为快步骤,活化络合物分解为慢步骤 :

[ A + B \rightleftharpoons [A\cdots B]^\neq \rightarrow P ]

反応物与活化络合物形成热力学平衡

[ K^{\neq} = \frac{C^{\neq}} { C_A C_B } ]

反应物速率

[ r= v C_{[AB]}^{neq}= \frac{k_bT}{h}\cdot K^{\neq} \cdot C_AC_B ] \noindent 反応速率为常数 ( k )

[k=\frac{ {k}{B}T}{h}K^{\neq}e^{-\Delta G/T}-RT]=\frac{ {k}{B}}{ {h}}e^{\frac{-\Delta H}{R{T}}}e^{-\frac{\Delta S}{R{T}}}] ]

多相催化中,中间络合物就是吸附中间态。



f884166c5d2d5a55f9886667c3cdbbbb

§3.1.2 速率方程与动力学参数

转换数或转换频率(turnover number or turnover frequency, TOF):

单位时间内每个活性中心引发的总包反应的次数。

表示反应速度与作用物(包括反应物、产物及添加物)

分压(或浓度)关系。

微分速率方程 :

[ r = f(P_1,P_2,\cdots P_{\text{'}},P_{\text{"}}, \ldots) ]

常见形式 :

  • 幂式速率方程 :

    (r=kP_A^{\alpha}P_B^{\beta}\cdot)

    • 双曲线式速率方程

    [r=\frac{k\lambda_iPi}{1+\lambda_1P_1+\lambda_2P_2+…}]

$k$: 速率常数 ; $\alpha$, $\beta$ … : 反应级数

$\lambda_i$: 常数



11639b1c7d4d83938815863403a9118d

这是一张语文三年级上册课本的照片,显示了一页练习题的部分内容:

积累运用

  1. 拼写正确,写的漂亮。

jiǎo cuò yán shi fēng jǐng you měi lì bāo guī wǔ qún duǒ qiú xí shā quàn dào

把词补充完整。

风景( ) ( ) 光色 ( ) 平 美丽的 ( )

瑰丽的 ( ),文静的小女孩儿坐在树荫下认真地写着字,交朋结友成群结队 四脚朝天 好奇 怪异 脚掌四只 鱼鳞花纹 可爱的 小鱼 游来游去 成熟 结出 果实累累 种子发芽 含苞欲放 盆景 宝贵 季节 春夏秋冬 百花齐放 迷人的芳香 我们校园里种了许多花草树木,有玫瑰花、月季花……一年四季花开不断,美丽极了!我们学校可真是个大花园啊!

选择正确的解释,在后面画 “√”。

(1) 各种各样的鱼多得数不清。正像人们说的那样,西沙群岛的海里一半是水,一半是鱼。(A.这句话强调西沙群岛海里的鱼非常多,多到鱼和水各占一半的程度。 B.这句话强调西沙群岛海里的鱼非常之多,但并不真的是鱼和水各占一半。这是一种夸张的说法。) (2) 西沙群岛也是鸟的天下。(A.说明这里的鸟非常多。B.说明西沙群岛只有鸟类居住,这里真的就是鸟的世界。)

  1. 把动物当成人类来写。

巨大的 海龟 在海底 死亡 庞大的 海龟

58 阅读拓展

课内阅读;有( )、有( )、还有( )。那里景色宜人,物产丰富,是个可爱的地方。我国南海上的明珠 —— 美丽的海南岛。

课外阅读;剑麻是一种热带植物,它的叶子很硬,用来织麻绳特别好用。它开出来的花朵也很美,粉红色的花瓣中间有一圈金黄色的边,就像一个小小的太阳。我非常喜欢这种植物。

新词语识读 ;《门巴族民歌》" 谷堆(蒙语)

新成语故事 ;《云顶山风》

这张照片展示了一篇课文的一部分以及一些相关的习题题目。这些题目包括拼写检查、词汇填空、句子理解等类型的问题,并且要求学生对文章进行理解和分析。此外,还有一些关于动植物拟人化的写作任务。



df41a1cf9fd1f042d662521241009fbc

关于推进 2023 年浦东新区残疾人家庭无障碍改造工作提示 \n 各街镇残联 :\n\n2023 年年初,市残联提出即将出台无障碍家改新政策。同时新建统一的操作平台,故我区残疾人家政工处于暂停状态。\n 但市残联至今还未下文通知,而我区重大办要求在 9 月底前完成市区两级为民办实事项目 1400 户困难重度残疾人无障害家改任物指标。\n 为尽快落实实府、区政府为民办实事项目进度,经区残联党组、理事会研究决定,继续推进 2023 年浦东新区残疾人家庭无障碍改造工作,现将推进工作提示如下 :\n 一、十四五期间,市残联要求我区完成 4500 户困难重度残疾人无碍害家改任务指标 ,2023 年,完成 1400 户。\n 二、十四五期间残疾人家庭无障碍改造工作的政策依据及相关要求 :( 一)市残联 (2015)24 号和 (2016)29 号文件继续执行 ,\n 改造对象、改造项目、改造经费、工作要求和操作流程不变。( 二)根据《关于 " 十四五 " 期间进本市因难重渡残疾人家庭无障碍改造工作的通知书》精神 ,( 会签稿 ), 具体操作口径 :\n 改造对象 : 申请人须同时符合一下条件 ;\n1. 我市户籍 ; \n2. 持有有我市核发有效《中华人民共和国残疾人证 ); \n3. 民政部门认定城乡低保家庭、支出型贫困家庭、低收人家庭等特殊困难群体成员。



21ea7376aac20d0840fde2e9b0474cea

管道信息表

编号 名称 管道类型 管材 管径 (mm) 数量 (m) 检测方式
Y1 Y2 雨水波纹管 DN400 42   CCTV
Y2 Y3 雨水波纹管 DN400 25   CCTV
Y3 Y4 雨水波纹管 DN400 43    
Y4 Y5 雨水波纹管 DN300 15   CCTV
Y5 Y6 雨水波纹管 DN300 20   CCTV
Y6 Y7 雨水波纹管 DN300 30   CCTV
Y7 Y8 雨水波纹管 DN300 45   CCTV
Y9            
  Y10 雨水波纹管 DN500 30   CCTV
  Y11 雨水波纹管 DN300 25   CCTV
  Y12 雨水波纹管 DN300 20   CCTV
  Y13 雨水波纹管 DN300 30   CCTV
  Y14 雨水波纹管 DN300 35   CCTV
  Y17          
             

注释:

  • 表格列出了管道编号、名称以及检测结果等详细信息。
  • "Y" 是指雨水系统的一部分。
  • "DN" 是公制直径(Diameter Nominal)缩写。
  • "CCTV" 表示通过闭路电视摄像机进行检查的方式。
  • “结构性缺陷—变形”的描述可能意味着这些部分存在一些结构性问题或形状变化的情况。
  • 其他如“无缺陷”,表示没有发现明显的损坏或其他异常情况。


913a715159d7ae13173e32472fa917f7

申请书

尊敬的各位领导:

您好!

我是来自内蒙古乌兰察布市卓资县巴达木胡镇王坪村的一名学生,就读于内蒙古大学锡林浩特学院中文系汉语言文学专业二班。本人家中有五口人,母亲患有心脏病,家中仅有父亲一人劳动,且我家无田地,无牲畜;再加上我今年上大学,父母更是无力支付学费。

因此我特此申请此次助学金,并希望各位领导批准。

此致,

敬礼。

申请人:王坪

2018 年 8 月 25 日



629cf15fa8cd5c43563e0996981a82ef

浦江烟雨

可憐零落江南少後遊, 露冷簷翻書卷秋。

又算晚燈夜闌閒吹動, 國注老膽歸來照廬州。

廣闊先愁著程最煩風色, 江山舊憶柳惻共粘跡。

度關常寫墨渾入眼, 蜀山碧念上空雲高。

辛夷冬书於皖南



22627af724a55856c17c6dc6a9112035

尼采《查拉图斯特拉如是说》

随着陌生人的生活在一起时,你自己来说也是一个陌生人 .


杨辛华《杨辛华陵 · 生得失》

即使想象从未令人寒而栗的小事一旦降临于实际的生活从发生到现在服它的期间我们的会体气氛并未有任何改变反而获得长期所期待的幸福后不会感到有何特别的乐趣或深刻的悲伤或强烈扣人心弦的兴奋只有来自刚产生变化的那一瞬间。



46fbcca097ca7c3fe50f89007c48d63a

湖北省监利县木材公司今收到吕孝芝即交生漆发票大写银行结账现金斗柜电话机拾捌张改锥九个 5 月 24 日高茂华



fd372a159d16900c521327232da9b833

My roommsteid John?



206ddfe3fb7204ee60aa89bd0a307303

誠信考試承諾書

本人鄭重承偌:

我已閱讀且逐條理解了 " 上海海峽大學學生考場規則 "和 " 上海海峽大學學生素質教育規定", 承諾在考試中自覺遵守字,如有違反,按有關款 採受處理 .

承諾人答名 :

日期 :

以部多為答案至內容 .



9ffb329fcd7a3c7f21d7ca097823f08a

斯托克斯公式 —— 曲线积分与曲面积分的关系:

\[\iint_S (\frac{\partial Q}{\partial x} dydz + \frac{\partial P}{\partial y} dzdx+\frac{\partial R}{\partial z} dxdy) = \oint_C (P dx+Q dy+R dz)\]

空间曲线积分与路径无关的条件 :

$\frac{∂R}{ ∂y}= \frac{∂Q}{ ∂z},$ $\frac{∂P}{ ∂z}= \frac{∂R}{ ∂x}$, $\frac{∂Q}{ ∂x}= \frac{∂P}{ ∂y}$

旋度 :$rot A=\begin{vmatrix} & & i
& j &
k & \end{vmatrix}\frac{∂ }{ ∂x }\frac{∂ }{ ∂y }\frac{∂ }{ ∂z } $

向量场 A 沿有向闭曲线Γ的环流量 : \(∮_C(P dx+Q dy+R dz)=∫_{S}(A·n ds)\)



26c6a3f3a1986105353c47d94d23b95a

基本积分公式

由 1 反推出 6:

(1) $\int x^k dx = \frac{x^{k+1}}{k + 1} + C$(因为分母不能为 0)

(2) $\int ax^n dx = \frac{a}{n + 1}x^{n + 1} + C$

(3) $\int e^xdx = e^x + C$

(4) $\int\frac{1}{x}dx = ln x + C$

(5) $\int sin(x)dx = -cos(x) + C$ $\int cos(x)dx = sin(x) + C$

(6) $\int\frac{1}{sin(x)}dx = log|\csc(x)-cot(x)| + C$ $\int\frac{1}{cos(x)}dx = tan(x) + C$

(7) $\int\frac{1}{cos^2(x)}dx = cot(x) + C$ $\int sec^2(x)dx = tan(x) + C$

(8) $\int\tan(x)dx = -ln(|cos(x)|) + C$ $\int csc(x)cot(x)dx = -csc(x) + C$

(9) $\int sec(x)tang(x)dx = sec(x) + C$ $\int csc(x)cot(x)dx = -csc(x) + C$

(10) $\int\frac{1}{a^2+x^2}dx = arctan(\frac{x}{a}) + C$ $\int\frac{1}{sqrt(a^2-x^2)}dx = arcsin(\frac{x}{a}) + C$

(11) $\int\frac{1}{sqrt(a^2-x^2)}dx = arcsin(\frac{x}{a}) + C$ $\int\frac{1}{sqrt(x^2+a^2)}dx = ln|x+\sqrt{x^2+a^2}| + C$

(12) $\int\frac{1}{a^2-x^2}dx = \frac{1}{2a}(arcsin(\frac{ x }{a})) + C$
$\int\frac{1}{x-sqrt(x^2+a^2)}dx = ln x-\sqrt{x^2+a^2} + C$

变限积分求导公式

若 f(x) 在 [a,b] 上连续, ϕ(x) 和 ψ(x)[a,b] 上可导,则 $(∫_a^b f(t)d t)=f[φ (x)] φ '(x)-f[y(x)]y′(x)$



990428a8212e4eb6836d7d2fdbe34fd8

矩形闸门宽 (a) 米,高 (h) 米垂直放在水中上沿与水面齐平,则该闸所受到的水压力 P=()

A.(\int_0^ahρgxdx) B.(∫0^ghρgx dx ) C.(\frac{1}{2} ghρgx dx ) D.( ∫{-a/2}^{a/2} ρ g h d x + m g )

  1. 设 f(x)=(k{x^{-2}}) 且 lim f(x)({ = })( {3}),则 k=() A.0 B.-2 C.3 D.(-{\textstyle{ {1 \over 2}}})

  2. 设 f'(0)=2 则当 t→0 时 ,f(t)-f(0)t 的 () 无穷小

  3. 若 f(x)=[x^p] 则反常积分 [ \int _{-1}^{+1}dx ] 下列结论成立的是( A.p>1 时收敛 p≤1 时不收斂 B.p≥1 时收敛 p<1 时不发散 C.p≤1 时收敛 p>1 时不敛 D.p<1 时不收敛 p≥1 时发散

11.lim xsinx= 不存在

  1. 设 f(x) 在点 x 处可导,则 [\mathop {\lim }\limits_{h \to 0 } [{ { {[f(h)] - [f( - h)]} \over {2h}}}]]=()

-f′(0)

f′(0)

2f′(0)

f′(0)/2



1d259f87be4863e5d691c740b8c5e22e

第 1 章 函数、极限与连续

  1. 下列函数哪些为初等函数:

(1) ( y = \frac{x^2 - 1}{x} ;)

(2) ( y = \begin{cases} x + 1, & x < 0
e^{-x}, & x > 9 \end{cases};)

(3) (y=\sqrt[4]{5x+1});

求一个函数 ( g(x)),使 ( f[g(x)] = \sqrt{\frac{5x-1}{3}}.)

  1. 设 (f(x)=\begin{cases}-2x&\2-x^{2}&\\sqrt{1+x^{2}}&\end{cases}), 其中 (0<x<2;) 设 (g(x)=\ln x). 求 (f(g(x))).

  2. 求下列极限 :

(1) (\lim_{x \to 0 }\dfrac {\sqrt {1+\tan x }-\sqrt {1-\tan x }}{\sin x }; )

(2) (\lim _{(x \rightarrow \infty )}( \sin \sqrt [n]{ {x}^{2}}+1)-\sin \sqrt { {x}^{2}}; )

(3) (\lim_{ { {x}_{\pi }}}\left(1+\cos ^{2}x \right ); )

(4) (\lim _{t \to 0 }(e^{xt}) .)

答案如下图所示 :

第一题的答案是(1)(2) 第二题的答案是√5/3 第三题的答案是 (-∞,-1)∪(1,+∞) 第四题的答案是不存在 第五题的答案是 (0,π/6) 并上 (5π/6,π] 第六题的答案是 1 第七题的答案是存在 第八题的答案是(1)、(2)、(3)



70a5b51029d475b040e76d0ad027b59b

柱面坐标和球面坐标的积分变换:

\[\begin{cases} x=r \cos{\theta}, \\ y = r \sin{\theta},\\ z=z, \end{cases}\quad \nabla f(x,y,z) dxdydz=\iiint F(r,\theta ,z)rdrd\theta dz,\]

其中 $F(r,\theta ,z)=f(r \cos{\theta },r \sin{\theta },z)$.

\[dv=rd\phi \cdot rsin(\phi)d\theta dr=r^2 sin(\phi )drd\phi d\theta.\] \[\iint f(x,y)dx dy=\iiint F(r,\phi ,\theta )rsin(\phi )drd\phi d\theta .\]

重心 :

$\bar{x}=M\frac{1}{M}\iint x\rho dv$, $\bar{y}= M\frac{1}{M}\iint y\rho dv$, $\bar{z}= M\frac{1}{M}\iint z\rho dv$. 其中 $M=\overline{x}$.

转动惯量 :

$I_x=M\iint (y^{2}+z^{2})\rho dv$, $I_y=M\iint (x^{2}+z^{2})\rho dv$, $I_z=M\iint (x^{2}+y^{2})\rho dv$.



b912e2a489577e710470c797f379141e

隐函数求导公式:

\[\frac{dy}{dx} = \frac{\partial F_x}{-\partial x}-F_y+\frac{\partial (-F_y)}{-\partial y}\cdot\frac{dy}{dx}\]

隐函数方程组:

$\left[\begin{array}{c} (F, G) =0
G(x,y,u,v)=0 \end{array}\right.$

$J=\left|\begin{array}{cc} u & v \hline u_{x} & v_{y} \end{array}\right|$

$\frac{\Delta u}{\Delta x}=-\frac{1}{J}\frac{\Delta (F,G)}{\Delta x}$

$\frac{\Delta v}{\Delta y}=v^{-1}\frac{\Delta(G,F)}{\Delta y}$



1c2f5c3f80be3b75478e95916637a97c

最长连续正特征序列长度正好是 j 的概率定义如下:

\[Pr(L_j) = \frac{C(n-j+1, j-1)}{ {n\choose k}}(p^kq^{n-k})^j(pqn-p^jq)^{(n-j+k)}\]

其中,

\[{n\choose k}=\frac{n!}{k!(n-k)!}, C(m,n)=m!\sum_{i=0}^{min(m-n,m-i)}(\frac{-1}{i!}), p=q+\epsilon,\quad (|\epsilon|<<1), n>>1,\]

则有

\[E[L]=\sum_{j=0}^{n}\frac{ { {n - j + 1}\choose {j - 1}}}{ { {n }\choose{k }} }({pq^n-q^np^n })^j(npq-nqp)^{n-j+k}=O((pq^n-q^np^n )^{-k}).\]

3acf98c5454347f5d3b9aaa3047466f8

两遍取期望并利用期望的线性性质,我们有

\[E[X] = E\Big[ \sum_{k=0}^{n-1}{X_k}\Big]=\sum_{k=0}^{n-1}{E[{X_k}]} =\sum_{k=0}^{n-1}{Pr[A_k]} =\frac{1}{2^n}( n-\frac{k+1}{2})+\frac{n-k}{2^n}\]

2b1737bf5c79875b9b643ba8d5fe5367

公式

设 ( N >0 ), (a>0),(b>0),(a\not=1,b\not =1,c>0, c\not =1,m\not =0,)

(1) 对数恒等式 :(\log_a^N=N;\) (2) 换底公式 :(\log_ab=\frac{\log_cb}{\log_ca};\) (3)(\log_bc=\frac{1}{\log_cb} ;\) (4)(\log_bn=m-\log_ab.)

空间几何体

边面积公式

[ S_{ 圆柱侧 }=2πrl ] [S_{ 圆锥侧 }=πrl ]

[ S_{ 圆台侧 }= π(r+r')l ]

[ S_{ 球 }=4R^{2}]

表面积公式

[ S_{ 圆柱 }=2πr(l+ r)] [S_{ 圆锥 }=πr(r+l) ]

[ S_{ 圆台 }=π(rr'+rr'+r'r)+πh(s+\sqrt{s's'} +s')]

[ V_{ 棱柱 Shv } ] [V_{ 棱锥 }=\frac{1}{3} Sh ] [V_{ 棱台 }=\frac{1}{3}( h(S+\sqrt{SS'} + s')) ]

[ V_{ 圆柱 }=πr^{2}h ] [V_{ 圆锥 }=\frac{1}{3}πr^{2}h ] [V_{ 圆台 }=\frac{1}{3}π(h(r^{2}+ rr'^{2} + r'^{2})) ]

[ V_{ 球 }=\frac{4}{3}π R^{3} ]

直线与平面

空间两直线上平行的判定:

(1)$// b // c$ $\Rightarrow$$a // c$

(2)$a⊥α ]⇒b // α$



0584a5ad6d4a8161006dd15e1dbcb161

傅立叶级数

\(f(x)=\frac{a_0}{2}+\sum_{n=1}^{\infty}(a_n \cos nx+b_n sin nx) ,周期 = 2\pi\) 其中, \({a}_{ {n}}=\frac{1}{\pi}\int f({x})\cos n{x}d{x}, (n=1,2,\cdots )\\ {b}_{n}= {\frac { {i}}{ {\pi }}}\int f ({x})\sin n{x} d{x},{(n=1,2,3)}...\)

相加 : $\begin{align*} &1 + \cfrac{1}{3^{2}}

  • \cfrac{1}{5^{2}}
  • \cfrac{1}{7^{2}}
  • … &= \frac{\pi ^{2}}{8}
    &1 + \cfrac{1}{2^{2}}
  • \cfrac{1}{3^{2}}
  • \cfrac{1}{4^{2}}

  • &= \frac{\pi ^{2}}{6} \end{align*}$ 相减 :

$\begin{align*}&1 - \cfrac{1}{2^{2}}

  • \cfrac{1}{3^{2}}
  • \cfrac{1}{4^{2}} -… &= \frac{\pi ^{2}}{12} \end{align}$ $\begin{align} &1 + \cfrac{1}{2^{2}}
  • \cfrac{1}{3^{2}}
  • \cfrac{1}{4^{2}}

  • &= \frac{\pi ^{2}}{12} \end{align*}$


e0862c2f16b4ecac6fef07e15e8bfe58

§3.1.2 速率方程与动力学参数

转换数或转换频率(turnover number or turnover frequency, TOF)

单位时间内每个活性中心引发的总包反应的次数。

微分速率方程:

[ r = f(P_1,P_2,\ldots P_{\text{'}},P_{\text{"}}) ]

常见形式 :

  • 幂式速率方程 : [ r=kP^{\alpha}P^{\beta}\cdots ] ( k:) 速度常数 ; ( \alpha ,\beta \cdot ·· :) 反应级数

  • 双曲线式速率方程 : [r=\frac{kλ_iPi}{1+λ_1P_1+λ_2P_2+\cdots }] (k:) 速度常数 ; ( λi:) 常数



792298d7dc081e0cfd4419d1d619b65a

过渡态理论 (Transition State Theory, TST)

绝对反应速率理论 (absolute rate theory, ART);

活化络合物理论 (activated complex theory)

化学反应经过一个中间过渡状态,即反应物分子互相接近的过程中先被活化而形成活化络合物。络合物极步稳定,可以变回原来的反应物,也可以分解为产物。

$A + B \rightleftharpoons [ A\cdot ..B ]^{\neq} \rightarrow P$

反応物与活化络合物形成热力学平衡

[ K^\neq = \frac{C^\neq}{ C_A C_B } ]

反応物速率

$r= v C^\neq=\frac{k_{B}T}{h}\times K^\neq\times C_AC_B$

由统计热力学计算

$\textcolor{red}{ 红色 }$ 反应速率常数 $k$

( k = \frac {k _ {\beta} T} h e ^ {- \Delta G \neq / RT} = \frac {k _ {\beta} T} h e^{- \Delta S \neq/RT - \Delta H \neq/T} )

多相催化中,中间络合物就是吸附中间态。



bb5919400e6a21f57b136d320fbad15e
  1. 2009 公主岭市玛钢有限责任公司(4 号线)脱箱造型机线、砂处理线 610508 FBOIII\n86. 2009 河北省鸡泽县玛钢厂 脱箱造型机(浇注 )700600 FCMXIII\n87. 2009 吉林世宝机械制造有限公司 脱箱造型机(浇注 )700600 FCMXIII\n88. 2009 山东隆基机械股份有限公司 (1 号线)脱箱造型机(浇注 )700600 FCMXIII\n89. 2009 山东隆基机械股份有限公司 (2 号线)脱箱造型机(浇注 )700600 FCMXIII\n90. 2009 四川绵阳好圣汽车零部件制造有限公司 脱箱造型机(浇注 )700600 FCMXIII\n91. 2009 浙江双源合金铸业有限公司 脱箱造型机(浇注 )610508 FB0II\n92. 2009 烟台胜地赢汽零配件制造有限公司 (5 号线)脱箱造型机(浇注 )700600 FCMXIII\n93. 2009 烟台胜地赢汽零配件制造有限公司 (6 号线)脱箱造型机(浇注 )700600 FCMXIII\n94. 2009 烟台胜地赢汽零配件制造有限公司 (7 号线)脱箱造型机(浇注 )700600 FCMXIII\n95. 2010 江阴亿达集装箱材料有限公司 脱箱造型机 610508 FB0III\n96. 2010 山东隆基机械股份有限公司 (4 号线)脱箱造型机(浇注 )610508 FB0III\n97. 2010 山东隆基机械股份有限公司 (6 号线)脱箱造型机(浇注 )700600 FCMXIII\n98. 2010 山东隆基机械股份有限公司 (6 号线)脱箱造型机(浇注 )700600 FCMXIII\n99. 2010 溧阳科华精密铸造有限公司 脱箱造型机 610508 FDNXII\n100. 2010 柳城方园机械制造有限公司 脱箱造型机 450350FDNIXI\n…


d2b4606a5d8606088a810a24598d0fe7

年龄 : 24\n 诊断 : 上消化道出血

项目 代码 结果
RBC.RBC. 红细胞计数  
HGB.HGB. 血红蛋白  
PLT.PLT. 血小板计数  

白细胞计数 WBC.WBC.

中性粒细胞比例 NEU%. 淋巴细胞比率 LY%.

单核细胞比率 MO%.



7860cc4b4e355f1ea4a2f946eb67147b

一个表格,上面写着:“山坪学校留守儿童信息登记表”。下面是许多人的名字、性别、年龄等信息。



695b7a4951e25f6661820456354ca989

图中展示了高速公路的相关部分及其名称标注:

  • 桥梁(Bridge)
  • 路面(Road surface)
  • 路基(Roadbed)

此外还有一张展示车辆行驶于双车道公路的照片,并有箭头指示方向。



dcece6f89ecd7e5135089954866900a8

盐城市建筑施工标准化工地检查表(一) (规定项) □项目部自查 □企业检查 □县(市、区)检查 □设区市查 □其他检查

栏目名称:

序号 规定检査项 评价结果
1 符合市级标准化工明示范工地申报条件 -
2 按照规定办理施功许可证 编号 __
3 未发生生产安全亡人事故 人数 ___ 日期 _____
4 按 JGJ59-2011 开展安全生产标准化自评工作 次数 __ 分 ___
5 按市标化工地检查表开展自评工怍 次数 __ 平均得分 __
6 因违法违行为被县级以上建设行政主管部门行政处罚的。 文号 __
7 在各类检査中被市及以冃上建设行政主管部门通报批评的、省级督査通报过的 文号 __
8 因项目存在安全隐患等问题在一一年内受到建设行政主管理部门 2 次及以上停工整改的。 文号 __
9 项目存在严重质量缺陷并被投诉查处实的。 -
10 未落实四项制度特别是农民工工资专户和工资代发的或发生农民工资拖欠行为的。 共检査 __ 项,符合 __ 项,不符合 __

小计 | 共检査 __ 项,符合 __ 项,不符合 __ 项 | 备注组组长:成员:年月日检查日期:注:市政公工程施功许可暂不作强制规 定,过渡期 2020 年-2023 年。



2b5d53db2a31a7a82256ee48a72c82b8

山东省普通高校招生填报志愿指南 - 2023 年

填表志愿指南 高校 招生 山东省 提前批 普通类 填报 志愿 要求 学院 专业 类型 理科 商科 工科 英语 成绩 物理 化学 或 生物 科目要求 计划数 年学费 收费标准 大专 自考 免试入学 专科升本科 函授 定向委培 各地市招办 教育考试机构 地址 电话 往届高中毕业生 中等职业学校毕业生 应届毕业生 参加全国成人高考 录取分数线 报名时间 注意事项 相关政策 文件规定 按照文件执行 以上信息仅供参考 实际情况以当地教育部门公布为准 请考生自行查询并确认相关信息 此外 还需注意其他相关事宜 如有疑问 请咨询当地教育部门或报名点工作人员 我们无法提供具体录取结果及分数 查询服务 请您谅解!祝您顺利通过考试!

此页面由 Google Translate 翻译而来,可能不准确



1de698e4a0e1931bd75eecbb23322cb9

分部分项工程和单价措施项目清单与计价表

工程名称:建筑与装饰工程

段标段:马依西一井场地生活区 1 号 10、0.4kV 变电所

第 4 页 共 9 页

序号 项目编码 项目名称 项目特征描述 计量单位 工程量 合价
40 O1O5I6OlOOl 预埋铁件 - t 1.875 12269.93

: 为记录税费等用途,在表格上增加其:“定额人工费”。




42d04809042086c8f96781b134d56144

4. The internal ladder tread plate is muddy and slippery, the project department should arrange for special personnel to clean it regularly to ensure the safety of workers going up and down.

5. The number of cut-off steel pipe joints in the fourteenth section of the main structure frame support cutting steel tube joints has not been increased according to requirements. 6. The twelfth section of the upper and lower pit ladders was placed above the steel support and needs to be removed as soon as possible.



4885e2a6ff0960d892931338dfc06d3b

报价清单表

货物报价清单(表 1)

序号 货物名称 技术参数及性能配置要求 单位 数量 单价 合计金额
1 2023 年学平险投保《致学生及其家长的一封信》 尺寸 210*140mm,157 克铜版纸封面(封面封底彩印,封二联正面黑白 + 二联无碳复写联单一封双面四印第一联正反背面黑白色第二联正面有红章,双色白背黑色印刷 6P+ 胶装) 1 179900 元 大写人民币壹拾柒万玖仟九佰元整

说明:

  • 此次投标报价包括一切税金和费用,最高上限价 98945 元,超过此上限价作废标处理;
  • 报价清单加盖投标人公章,评审结果按供应商评标价由低到高排序,有效回标的家及以上时选用评标价最低的供应商作为中标(成交)供应商;有效回标两家以及时本项目流标。如报价者投报相同,则由审小组成员每人投票数居多的供应商为中标(成交)供应商;
  • 其他技术标准要求以合作协议约定为准。

商全称盖章:

商全权代表签字:



4903b77220b840c4eaf92f3b7cef58dc

安全帽佩带与使用规定

当作业人员从 2m 及以上的高处坠落后;当头部有可能触电时;在低矮部位行走或作业,头部可能碰到尖锐、坚硬物体时应戴安全帽。

注意事项:

戴安全帽前应调整好松紧带按自己头型调整适合的位置然后系牢。缓冲衬垫的松紧度由带子调节人的头顶和帽体内顶部的空间垂直距离一般应在 25-50mm 之间至少不得小于 32mm 最好这样才能保证受到冲击时有足够的空间供缓冲平时也有利于头和帽子间的通风。

不要把安全帽歪戴也不要把沿戴在脑后方否则会降低安全帽对于冲撞防护作用。

安全帽下领带必须扣在颌下并系牢松紧适度这样不至于被大风吹掉或者被其他障碍物碰掉由于头前后摆动使安全帽脱落。

安全帽顶除了内部安装了帽壳外有的还开了小孔通气但在使用过程中为了透气而随便再开孔这样做将会使帽体强度下降。

因为安全帽在使用过程中逐渐损坏所以定期检查有无龟裂、凹陷、裂缝和磨损等情况发现异常现象立即更换不准继续使用受过重击有过裂痕的安全帽不论是否有损坏现 …(此处省略)

注意!以上文字仅作示例,请勿用于实际用途

请确保您已经阅读并且理解了这些信息,并且同意遵守所有相关法律法规。如果您不同意此声明,请停止使用该服务。



1f4b78a07302ba879d7c889362bd2604

目录

  • 释义
  • 前言
  • 摘要
  • 正文
    • 出资人权益调整方案
    • 债权分类及调整方案
    • 债权受偿方案
    • 经营方案
    • 重整计划的执行和执行监督
    • 其他事项
  • 结语
  • 后记


6df0dbc05fed19f259ce544c163e61b0

县县妇联,配合单位 : 县教育体育局]

五、努力提升青少年法治教育的针对性和实效性

33. 将法治知识纳入初中学业水平测试。学校内有法治宣传材料,法治宣传教育有经费保障。对全县半数道德与法治课教师进行 1 次轮训 .[牵头单位 : 县教育体育局,合作单位 : 县公安局、县财政局、县司法局、县人民法院、县人民检察院]

34. 落实法制副校长、法制辅导员制度,全县中小学 2023 年底实现法制副校长 100% 配备和法制副校长轮训工作全覆盖,每名法制副校长每学期到校开展法治宣传教育不少于 2 节课时。[牵头单位 : 县教育体育局,合作单位 : 县公安局、县司法局、县人民法院、县人民检察院]

35. 发挥县青少年法治宣传教育基地的作用,探索试行基地宣传设施移动巡回展出。[牵头单位 : 县教育体育局,合作单位 : 县司法局]

36. 在新生入学等时间节点,组织学生开展法治宣传活动,深入开展教育法、义务教育法、家庭教育促进法、未成年人保护法、预防未成年人犯罪等法律法规宣传活动。[牵头单位 : 县教育体育局,合作单位 : 县公安局、县司法局、县人民法院、县人民检察院]

37. 中小学全年组织开展 "学宪法讲宪法 "" 宪法晨读活动。在青少年 "成人礼 "仪式中,开展宪法宣誓,提倡赠送宪法单行本。[牵头单位 : 县教育体育局,合作单位 : 团县委]



c0c4bb12eec153d9714d3dbc49bd6cfb

怀化市国土空间生态修复规划(2021-2035 年)

前言

党的十八大以来,以习近平同志为核心的党中央从中华民族永续发展的高度出发,把生态文明建设提高到中国特色社会主义建设 "五位一体 "总体布局的战略高度 .

党的二十大报告明确指出:“必须巩固树立绿水青山就是金山银山的理念”,坚持山水林田湖草沙一体化保护和系统治理,统筹产业结构调整、污染治理、生态保护、应对气候变化,协同推进降碳、减污、扩绿、增长,推进生态优先、节约集约、绿色低碳发展”。

怀化市地处武陵山脉和雪峰山脉之间,生态环境条件得天独厚,资源禀赋优越,全国九大生态系统之一。近年来深入贯彻习近平生态文明思想,坚定不移走 ' 生态优先绿色发展之路 ', 坚持以尊重自然顺应自然保护自然扎实推进建设全市生态环境质量持续好转。新时期为进一步落实习总书记文明思想和省委省政府决策部署科学谋划怀化市国土空间生态修复活动由自然资源和局牵头会同发改财政生态环境住建水利农业农村林业等相关部门充分衔接《全国重要生态系统保护和修复重大工程总体规划 (2021-2035)》等有关规划的基础上组织编制了《怀化市国土空间生态修复规划 (2021-2035)》简称《规泄》。



92af1b5e991b0609ba677df49ccc78e5

第二部分 安全教育工作

工作目标与要求

目标

提高全体师生的安全意识和自我保护能力;预防各类安全事故的发生;创建安全文明校园环境。

要求

落实学校安全管理责任制度;加强学生心理健康及法制宣传教育;开展各项专题活动以增强学生的安全知识储备。

具体措施

  1. 加强对教师队伍的心理健康培训以及法制教育培训;
  2. 组织实施全国中小学生安全教育日等活动,并进行相关宣传周等宣传活动;
  3. 建立家校联系机制,共同做好孩子的安全教育与督促工作;
  4. 利用主题班会等形式对学生进行全面多样的安全教育;
  5. 实施《中小学公共安全教育指导纲要》,确保课堂教学计划中有足够的安全教育时间;
  6. 开展全面系统的五分钟安全教育课程培养学生活动;
  7. 每学期安排不少于十二课时的安全教育课程并有评价体系。


1aa050328f17e58ac2bed88e5fa7e143
序号 零件名称 零件代码 数量 / 单价 单位 到货日期 金额 供应商回复
00010 直纹搓丝刀 42X20X10X0.63X110oX0.21 符孝伟 221183 2 22-9-28 2,300.00  
00020 斜纹搓丝刀 42X20X11.2X90X0.19 符孝伟 221183 10 22-9-28 11,500.00  
00030 螺母止动垫片 1700050100 符孝伟 221183 10 22-9-28 150.00  
00040 阳力线轮 31001698 符孝伟 221183 1 22-9-28 150.00  
00050 转子卡头 R50F2.0783.900706 符孝伟 221183 3 22-9-28 1,455.00  
00060 D2.5 转子卡头 MT-DHJ-D2.5-I02-339 符孝伟 221183 2 22-9-28 970.00  
00070 D6 中号转子卡头 37023890 符孝伟 221183 4 22-9-28 1,320.00  
00080 卡头拉杆 R90CB086093012600 符孝伟 221183 2 22-9-28 356.00  
00090 飞叉皮带轮轴 31000555 符孝伟 221183 2 22-9-28 570.00  
00100 飞叉套 31000552 符孝伟 221183 3 22-9-28 855.00  
00110 穿花针 P-MT-NGPLS-AO1-O01 符孝伟 221183 1 22-9-28 185.00  
00120 挡料柱 8-TZ-17037-OP30-05-023 符孝伟 221183 2 22-9-28 260.00  
备注:请在 24 小时内签回副本,如果 24 小时内不回复,默认供应商接受订单 合计 60,835.00 - - - - -

备注:

  • 请在 24 小时内签回副本,
  • 如果 24 小时内不回复,则默认供应商接受订单

合计:总计金额为 60,835.00 元


参考资料快照
参考资料快照